题目列表(包括答案和解析)

 0  72608  72616  72622  72626  72632  72634  72638  72644  72646  72652  72658  72662  72664  72668  72674  72676  72682  72686  72688  72692  72694  72698  72700  72702  72703  72704  72706  72707  72708  72710  72712  72716  72718  72722  72724  72728  72734  72736  72742  72746  72748  72752  72758  72764  72766  72772  72776  72778  72784  72788  72794  72802  447348 

15.已知△ABC三边abc上的高分别是6cm、4cm、3cm,则abc等于( ).

(A)1:2:3 (B)2:3:4  (C)3:4:5 (D)3:5:4

试题详情

14.小芳步行上学,最初以某一速度匀速前进,中途遇红灯,稍作停留后加快速度跑步去上学,到校后,她请同学们画出她行进路程s(米)与行进时间t(分钟)的函数图象的示意图.你认为正确的是(  ).

试题详情

13.已知点M(2m+1,m-1)与点N关于原点对称,若点N在第二象限,则m的取值范围是(  ).

试题详情

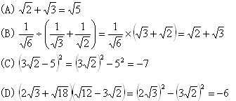
9.下列计算正确的是(  ).

(A)x≠9的非负实数  (B)x≠9的正实数

(C)x≥0       (D)x<3的实数

试题详情

8.如图所示,折线ABCA地向B地打长途电话所需付的电话费y(元)与通话时间t(分)之间的函数关系的图象.当t≥3时,该图象的解析式为        ;由图象可知,通话2分钟需付电话费      元,通话7分钟,需付电话费     元.

试题详情

7.已知点P在第二象限,且到x轴的距离是2,到y轴的距离是3,则点P的标为    .

试题详情

6.已知某数的平方根为3a+1,2a-6,则 a       .

试题详情

19.如图,在△ABC中,∠B、∠C的平分线交于点P,设∠A=x,∠BPC=y,当∠A变化的时,求yx之间的函数关系式,并判断y是否是x的一次函数,指出自变量x的取值范围.

(1)试求这两个解析式;

(2)在同一直角坐标系中,画出这两个函数的图象.在第四象限内,利用图象说明,当x取什么值时,y2<y1

(3)你能求出△AOB的面积吗?如何求?

期中测试(B卷)

试题详情

18.直线y=(2m-3)x+m-3与y轴的交点在原点下方,且yx的增大而增大.

(1)求整数m的值;

(2)在(1)的条件下,求出该直线与x轴、y轴的交点AB的坐标.

试题详情

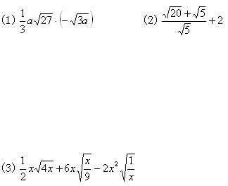
17.化简计算:

 

试题详情


同步练习册答案