题目列表(包括答案和解析)

 0  72585  72593  72599  72603  72609  72611  72615  72621  72623  72629  72635  72639  72641  72645  72651  72653  72659  72663  72665  72669  72671  72675  72677  72679  72680  72681  72683  72684  72685  72687  72689  72693  72695  72699  72701  72705  72711  72713  72719  72723  72725  72729  72735  72741  72743  72749  72753  72755  72761  72765  72771  72779  447348 

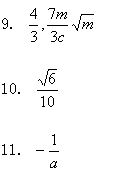
12. 2003

试题详情

8. ≤0

试题详情

3. -a-6

试题详情

2. -3

试题详情

30. 1.80

二次根式(B卷)答案

试题详情

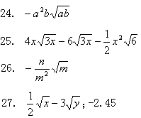
23. 24

试题详情

15. B  16. A  17. D  18. A  19. A  20. D

试题详情


同步练习册答案