题目列表(包括答案和解析)

 0  72607  72615  72621  72625  72631  72633  72637  72643  72645  72651  72657  72661  72663  72667  72673  72675  72681  72685  72687  72691  72693  72697  72699  72701  72702  72703  72705  72706  72707  72709  72711  72715  72717  72721  72723  72727  72733  72735  72741  72745  72747  72751  72757  72763  72765  72771  72775  72777  72783  72787  72793  72801  447348 

16.下列各组中的四条线段能成比例的是(  ).

   

试题详情

15.等边三角形两边中点所连线段与另一边长的比是(  ).

  (A) 1:1    (B) 1:2     (C)1:3    (D)无法确定

试题详情

14.三角形的面积为8cm2,这时底边上的高y(cm)与底边x(cm)之间的函数关系的图象大致是(  ).

  

试题详情

13.与数轴上的点一一对应的数是(    ).

(A)自然数    (B)整数    (C)有理数   (D)实数

试题详情

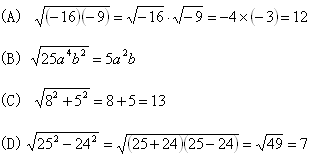
12.下列计算正确的是(   ).

试题详情

11.若成立,则x的取值范围是(  ).

(A) 1     (B) 0     (C)x≥0    (D)x≤0

试题详情

(A)1个    (B)2个     (C)3个    (D)4个

10.下列各组二次根式中,不是同类二次根式的一组是(  ).

 

试题详情

7.若点(mm-2)在第四象限,则m的取值范围是   

试题详情

6.已知函数y=kx的图象经过点A(-2,2),则k=    

试题详情

5.与直线y=3x-2平行,且经过点(-1,2)的直线的解析式是    

试题详情


同步练习册答案