题目列表(包括答案和解析)

 0  76205  76213  76219  76223  76229  76231  76235  76241  76243  76249  76255  76259  76261  76265  76271  76273  76279  76283  76285  76289  76291  76295  76297  76299  76300  76301  76303  76304  76305  76307  76309  76313  76315  76319  76321  76325  76331  76333  76339  76343  76345  76349  76355  76361  76363  76369  76373  76375  76381  76385  76391  76399  447348 

8、比较25180,64120,8190的大小用“<”号联     .

试题详情

7、不等式(x+16)(x+4)>(x+12)2的解集是    .

试题详情

6、若A=3x-2,B=1-2x,C=-5x,则A·B+A·C=    .

试题详情

5、xn=5,yn=3,则(xy)2n   ,若2x=m,2y=n,则8x+y   .

试题详情

4、计算:(m-n)3·(m-n)2·(n-m)=    ,(3+a)(1-a)=   

         (a+2)(a-2)(4+a2)=    ,(m+n-1)(m-n-1)=   .

试题详情

3、计算:(-8)2004 (-0.125)2003   ,22005-22004   .

试题详情

2、(-2×105)2×1021   ,(-3xy2)2·(-2x2y)=    .

试题详情

1、(-a)2·(-a)3   ,(-x)·x2·(-x4)=   ,(xy2)2  .

试题详情

16. 观察下列单项式:

(1)  计算一下这里任一个单项式与前面的单项式的商,你有什么发现?

(2)  根据你发现的规律写出第10个单项式.

试题详情

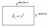
15. 公园里两片草地的尺寸及面积分别如图所示,由题意试列出方程组并且求出的值.

试题详情


同步练习册答案