0  124183  124191  124197  124201  124207  124209  124213  124219  124221  124227  124233  124237  124239  124243  124249  124251  124257  124261  124263  124267  124269  124273  124275  124277  124278  124279  124281  124282  124283  124285  124287  124291  124293  124297  124299  124303  124309  124311  124317  124321  124323  124327  124333  124339  124341  124347  124351  124353  124359  124363  124369  124377  447090 

18.安装家庭电路中,从进户线到用电器之间有总开关、电能表和熔断器,它们的正确排列顺序应该是   (   )

   A.电能表、总开关、熔断器          B.总开关、熔断器、电能表

   C.熔断器、电能表、总开关          D.电能表、熔断器、总开关

试题详情

17.一个用电器电阻为R,当它两端电压为U,通电时间为t时,消耗电能为W;若要使它消耗电能为4W,下列方法正确的是   (   )

   A.电阻R不变,电压U不变,通电时间t变为原来的2倍

   B.电阻R减半,电压U增大1倍,通电时间t不变

   C.电阻R不变,电压U增大1倍,通电时间t不变

   D.电阻R减半,电压U不变,通电时间t不变

试题详情

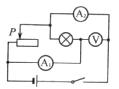
16.如图电路中,R为定值电阻,R1为滑动变阻器,当变阻器的滑片P由中点c向b端滑动时,电流表和电压表的示数变化情况是   (   )

   A.电压表的示数不变,电流表的示数变小

   B.电压表的示数不变,电流表的示数变大

   C.电压表的示数变小,电流表的示数不变

   D.电压表的示数变大,电流表的示数变小

试题详情

15.在如图所示的电路中,以下说法中正确的是   (   )

   A.S1、S2闭合,S3断开时,L1与L2两灯串联

   B.S1、S2断开,S3闭合时,L1与L2两灯并联

   C.S1、S2闭合,S3断开时,L1与L2两灯并联

   D.S1、S2断开,S3闭合时,L1与L2两灯串联

试题详情

14.在图所示电路中,电源电压保持不变.闭合电键S,电路正常工作.过了一会儿,一个电表的示数变大,另一个电表的示数变小,则下列判断中正确的是   (   )

   A.电阻R一定断路              B.灯L可能变亮

   C.灯L的亮度可能不变          D.电阻R一定短路

试题详情

13.如图所示电路中,当开关S闭合,甲、乙两表是电压表时,示数之比U:U=3:2,当开关S断开,甲、乙两表都是电流表时,则两表的示数之比I:I为   (   )

   A.2:1   B.1:3        C.2:3        D.3:1

试题详情

12.如图所示电路,电源电压不变,当开关闭合,滑动变阻器滑片P向右移动时,下列判断正确的是   (   )

   A.电压表示数变大             B.电流表的示数变小

   C.电流表的示数变小         D.灯泡变暗

试题详情

11.干电池是一种常用、方便的电源.以下关于干电池的说法中正确的是   (   )

   A.有的干电池提供直流电,有的干电池提供交流电

   B.干电池是把电能转化为化学能的装置

   C.多数干电池中有汞、镉等重金属元素,随便丢弃会污染环境.所以,废弃的干电池应该集中分类处理

   D.常用的1号、2号、5号、7号干电池的电压随号数的增大而增大

试题详情

10.关于导体的电阻,下列说法中正确的是   (   )

   A.锰铜丝的电阻比铜丝的电阻大

   B.粗细相同的导线,长的电阻较大

   C.长短相同的导线,细的电阻较大

   D.同种材料制成的长短一样的两条导线,粗的电阻较小

试题详情

9.下列有关电学初步知识的一些说法中,正确的是   (   )

   A.能够带电的物体一定是导体       B.与丝绸摩擦过的玻璃棒带正电

   C.对人体安全的电压是36 V          D.玻璃在任何状态下都是绝缘体

试题详情


同步练习册答案