0  164976  164984  164990  164994  165000  165002  165006  165012  165014  165020  165026  165030  165032  165036  165042  165044  165050  165054  165056  165060  165062  165066  165068  165070  165071  165072  165074  165075  165076  165078  165080  165084  165086  165090  165092  165096  165102  165104  165110  165114  165116  165120  165126  165132  165134  165140  165144  165146  165152  165156  165162  165170  447090 

20.(本小题满分12分)

汽车在运行时,保持一定的速度,能节省燃料油,减少排放量,保护环境.统计表明某种型号的汽车在匀速行驶中每小时的耗油量(升)与行驶速度(千米/小时)的函数关系可以近似地表示为。已知甲、乙两地相距100千米,当汽车以多大的速度匀速行驶时,从甲地到乙地耗油量最少?最少为多少升?

(参考数值,结果精确到小数点后一位。)

试题详情

19.(本小题满分12分)

已知数列{}的前项和为,对一切正整数,点()都在函数的图像上。

(I)求数列{}的通项公式;

(Ⅱ)设,求数列{}的前项和

试题详情

18.(本小题满分12分)

在△ABC中,AC=2,BC=1,

(I)求AB的值;(Ⅱ)求值。

试题详情

17.(本小题满分12分)

已知函数,求函数的最小正周期和最小值。

试题详情

16.若直线恒平分圆的周长,其中,则的最小值为          

试题详情

15.若不等式的解集为(),则的值为            

试题详情

14.已知F1,F2为椭圆的两个焦点,过F2作直线与椭圆相交于A、B两点,若△AFlB的周长为16,椭圆的离心率,则椭圆的标准方程是      

试题详情

13.设D是不等式组表示的平面区域,则D中的点P()到直线距离的最大值为         

试题详情

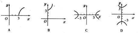
12.已知二面角的平面角为的法向量,,且的法向量,,且。设A、B到棱的距离分别是,当变化时,点()的轨迹是下列图形中的

第Ⅱ卷(非选择题    共90分)

试题详情

11.下表给出一个“三角形数阵”,已知每一列的数成等差数列,从第三行起每一行的数成等比数列,且公比都相等,记第行与第列的数为,则

A.              B.             C.             D.

试题详情


同步练习册答案