0  193403  193411  193417  193421  193427  193429  193433  193439  193441  193447  193453  193457  193459  193463  193469  193471  193477  193481  193483  193487  193489  193493  193495  193497  193498  193499  193501  193502  193503  193505  193507  193511  193513  193517  193519  193523  193529  193531  193537  193541  193543  193547  193553  193559  193561  193567  193571  193573  193579  193583  193589  193597  447090 

6、串;电流表;L1L2(或电路中的总);电流。电压表;电源;电压。电压表;L2; 电压。   7、4.5V     8、串联;负;正;2V;4V

试题详情

3、;并;正;负     4、量程;大的;试触    5、2.4V;12V

试题详情

1、电流;电源;伏特    2、1.5×10-2;1.5×10-5; 25;2.5×107

试题详情

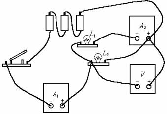
3、请把下面的实物画成电路图,电流的流向,电器元件的先后顺序不能改动。

[答案]:

试题详情

2、在下面的电路中,标出电压表,电流表及它的正、负接线柱。

  

试题详情

1、请把下列实物连成电路,要求电流表测灯泡中电流,电压表测灯泡两端电压。如果电流表的示数是0.16A,电压表的示数是2.6V。请把指针位置及接线柱的连接画在下边的图中。

 

 

试题详情

7、如图所示,S闭合后,两个灯泡均不发光,电流表的指针也几乎不动,但电压表的指针确有明显的偏转,该电路的故障可能是:(    )

   A.电流表坏了或未接好。

   B.L2的灯丝烧断或灯座与灯泡没接触。

   C.L1L2的灯丝都被烧断。

   D.L1的灯丝被烧断或没接好。

试题详情

6、在右图中,关于的说法正确的是(    )

   A.a为电流表,b为电压表。

   B.a为电压表,b为电流表。

   C.ab均为电流表。

   D.ab均为电压表。

试题详情

5、下面电路图中,L1的电压的电路正确的是(    )

试题详情

4、下列说法正确的是(    )

   A.使用电压表前,要将指针调到零刻度。

   B.有三个接线柱的电压表,有三个量程。

   C.使用电压表时,绝对不允许直接把表接在电源两极间。

   D.电压表应串联在电路中。

试题详情


同步练习册答案