0  246793  246801  246807  246811  246817  246819  246823  246829  246831  246837  246843  246847  246849  246853  246859  246861  246867  246871  246873  246877  246879  246883  246885  246887  246888  246889  246891  246892  246893  246895  246897  246901  246903  246907  246909  246913  246919  246921  246927  246931  246933  246937  246943  246949  246951  246957  246961  246963  246969  246973  246979  246987  447090 

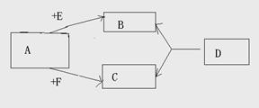
10.(临沂)已知A、E、F是单质,B、C、D是化合物,它们分别是由碳、氢、氧三种元素中的一种或者几种组成。其中B是相对分子质量最小的氧化物,D物质很不稳定,容易分解声称B和C,它们之间的转化关系如右图所示。

(1)则A、E的化学式为A    ,  E     

(2)请你写出一下变化的化学方程式:

A+F→C              

D→B+C                

答案:(1)O2  H2(2)  C+O2点燃CO2    H2CO3==H2O+CO2

试题详情

9.(福州)(6分)碳和部分碳的化合物间转化关系如图所示。

(1)物质X的化学式为       

(2)在物质的分类中,CO属于     。(填标号)

A.酸   B.碱   C.盐   D.氧化物

(3)从图中任选一种物质,它的一种用途         

(4)写出图中转化关系中属于化合反应的一个化学方程式            

答案:(1)CO2  (2)D   (3)CO可作燃料  (合理答案均可)  (4)C+O2CO2  (合理答案均可)               

试题详情

8.(泰州)A是常见金属单质,B、C是非金属单质,且C是密度最小的气体,甲是磁铁矿的主要成分,乙是无色液体,它们之间有如下的转化关系(部分产物和反应条件未标明)。

  (1)推断C、甲、乙的化学式为:C     ,甲    ,乙    

  (2)写出反应②的化学方程式                

  (3)写出反应①的化学方程式                ,该反应除了具有放出热量多,原料不受限制的优点外,还有      的优点。

答案:(1) H2   Fe3O4   H2O  (2) 3Fe+4H2O === Fe3O4+4H2  

(3) 2H2+O2 === 2H2O  产物无污染

试题详情

7.(徐州)A、B、C、D、E均为初中化学中不同类别的物质,它们的变化关系如图所示,其中红色物质A在一定条件下可以转化为单质B,“--”表示相连的两种物质能发生反应。则:

(1)D的化学式为_______。

(2)A转化为B的化学方程式 _           

(3)C与E反应的化学方程式____       ___。

答案:(1)CuSO4等  (2)Fe2O3+3CO高温2Fe+3CO2等  (3)NaOH+HCl=NaCl+H2O等

试题详情

6.(苏州)模拟酸雨形成的流程如下图所示。硫在单质气体A中燃烧发出蓝紫色火焰,生成刺激性气味的气体B;通常情况下C为无色液体,B、C、D是氧化物;E、F和X都是酸,G是白色沉淀。

   试填空:

   (1)E的化学式为:        

   (2)反应①的化学方程式为:                   

   (3)反应④的化学方程式为:                   

(4)反应⑥的化学方程式为:                  

答案:(1)H2SO3  (2)S+O2SO2   (3)SO3+H2O===H2SO4  

(4)BaCl2+H2SO4===BaSO4↓+2HCl

试题详情

5.(眉山)构建知识网络是一种重要的学习方法。右图是关于铁化学性质的知识网络(“→”表示一种物质转化为另一种物质),其中B是密度最小的气体,C为红色固体单质。请回答下列问题:

(1)A物质的化学式为          

(2)B物质的一种用途是        

(3)反应②还需要的一种反应物是    

填化学式)。

(4)写出反应③的方程式,并注明基本反应类型:

            (       )。

答案:(1)Fe3O4  (2)冶炼金属(作燃料等)  (3)C(或CO或H2) 

(4)Fe + CuSO4 = FeSO4 + Cu   置换反应

试题详情

4.(兰州)下列框图中的物质均为初中化学常见的物质,其中A是建筑材料的主要成分,B属于氧化物,下图是它们之间的相互转化关系。请回答:

 

(1)写出下列物质的化学式:A.        C.       

(2)得到F溶液的操作Ⅰ的名称为:         

(3)若I是红褐色沉淀,请写出G + F → I的化学方程式:            

(4)指出反应①的基本类型是         反应。

答案:(1)A:CaCO3,C:CO2; (2)过滤;(3)3NaOH + FeCl3 == Fe(OH)3↓ + 3NaCl

(4)化合反应

试题详情

3.(达州))有A、B、C、D四种物质,如图所示,A、B、C在一定下可以发生转化,在C溶液中通入CO2,溶液变浑浊,生成白色沉淀A。D与A、B、C均能发生反应,D与C发生中和反应,D与A反应有CO2气体产生,D与AgNO3溶液反应,可产生不溶于稀硝酸的白色沉淀。

⑴请根据已知条件推断四种物质的化学式:

A         B        

C         D        

⑵请写出下列反应的化学方程式:

C溶液中通入CO2,溶液变浑浊           

D与A反应                    

答案:⑴A:CaCO3  B:CaO   C:Ca(OH)2  D:HCl

⑵Ca(OH)2+CO2 = CaCO3↓+H2O    CaCO3+2HCl = CaCl2+H2O+CO2

试题详情

2.(南京)框图中的物质为初中化学所学的物质,其叫属于盐的是H、C、M、N,属于氧化物的是F、G;胃液中含有适量的A,可帮助消化;C是家庭中重要的调味品之-一;D常用于改良酸性土壤。图中“---.”表示两端的物质问能发生化学反应:“→’表示物质间存在转化关系;部分反应物或生成物已略去。

  (1)C物质是由      (选填“分子”、“原子”或 “离子”)构成的。

  (2)A与镁条反应能    (选填“放出”、“吸收”)热量。

  (3)写出D的俗名:       ;

   写出化学式:B     N     

(1)写小G→M的化学方程式:           

答案:(1)离子(2)放出(3)熟石灰(或消石灰)NaHCO3  Na2CO3(或Na2CO3  NaHCO3)

(4)Ca(OH)2+ CO2 =CaCO3↓++H2O

试题详情

1.(乐山)如图所示,A、B、C、D、E、F均是初中化学常见物质。A与B发生的是复分解反应,B与C发生的是中和反应,F是人体正常生理活动必不可少的一种盐。

结合图中信息,回答有关问题:

(1)E的化学式为      

(2)A与B反应的化学方程式为       

(3)C与D反应的化学方程式为         。

答案:(1)H2O ;(2)Na2CO3+2HCl=2NaCl +H2O +CO2↑;(3)CO2+2NaOH= Na2CO3+ H2O。

试题详情


同步练习册答案