0  247771  247779  247785  247789  247795  247797  247801  247807  247809  247815  247821  247825  247827  247831  247837  247839  247845  247849  247851  247855  247857  247861  247863  247865  247866  247867  247869  247870  247871  247873  247875  247879  247881  247885  247887  247891  247897  247899  247905  247909  247911  247915  247921  247927  247929  247935  247939  247941  247947  247951  247957  247965  447090 

13.若上是减函数,则实数的值的集合是          

试题详情

2009.9

成绩统计表(考生不要填写)

第II卷(非选择题,共90分)

试题详情

12.是定义在R上的以3为周期的偶函数,且,则方程在区间内解的个数至少是(  )

A.2           B.4           C.3           D.2

宁阳一中高三年级单元测试数学试题(理)

试题详情

11.根据表格中的数据,可以判定方程的一个根所在的区间为(  )



0
1
2
3

0.37
1
2.72
7.39
20.09

1
2
3
4
5

A.       B.        C.           D.

试题详情

10.关于的方程有实数根,则的取值范围是(  )

A.                  B.      

C.                  D.

试题详情

9.三个数的大小顺序是(  )

A.       B.

C.       D.

试题详情

8.函数的递增区间是(  )

A.       B.      C.      D.

试题详情

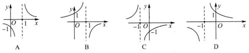
7.函数的图象是(  )

试题详情

6.已知幂函数的图象经过点,则的值等于(  )

A.16          B.         C.          D.2

试题详情

5.函数的定义域是(  )

A.     B.       C.      D.

试题详情


同步练习册答案