0  249143  249151  249157  249161  249167  249169  249173  249179  249181  249187  249193  249197  249199  249203  249209  249211  249217  249221  249223  249227  249229  249233  249235  249237  249238  249239  249241  249242  249243  249245  249247  249251  249253  249257  249259  249263  249269  249271  249277  249281  249283  249287  249293  249299  249301  249307  249311  249313  249319  249323  249329  249337  447090 

2.当图中α的角度由最大逐渐变小时

A.太阳直射点由南回归线向北移动          B.北极圈内的极昼范围逐渐缩小

C.太阳直射点由北回归线向南移动          D.南极圈内的极夜范围逐渐缩小

试题详情

1.图中α的最大值可达

A.90°        B.66°34′         C.30°         D.23°26′

试题详情

22、已知函数数列满足条件:

⑴求数列的通项公式;

⑵求数列的前项和并求使得对任意都成立的最大正整数

⑶求证:

试题详情

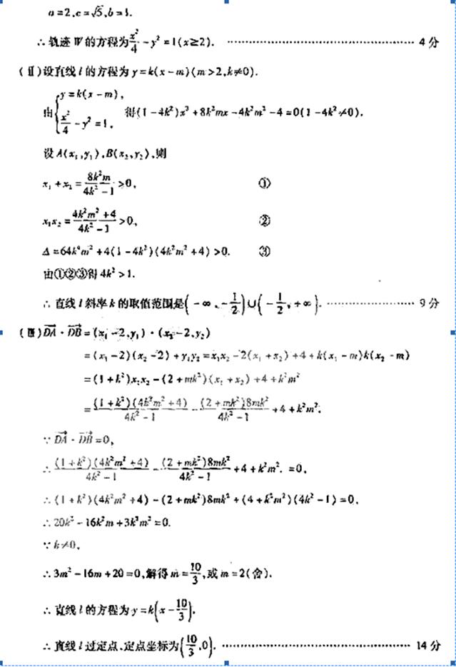
21、已知动圆过点并且与圆相外切动圆圆心的轨迹为轨迹轴的交点为

⑴求轨迹的方程;

⑵设直线过点且与轨迹有两个不同的交点求直线的斜率的取值范围;

⑶在⑵的条件下证明直线过定点并求出这个定点的坐标

试题详情

20、已知函数

⑴若曲线在点处的切线方程为求函数的解析式;

⑵当讨论函数的单调性

试题详情

19、一个口袋装有编号分别为的小球各两个从中任取个球

⑴求个球中最大编号为的概率;   ⑵求个球编号和恰能被整除的概率

试题详情

18、直四棱柱

⑴求证:平面;  ⑵求与平面所成角的大小

试题详情

17、在中,角所对的边分别为

⑴求的值;    ⑵求的值

试题详情

16、对于集合的每一个非空子集,定义一个“交替和”如下:按照递减的次序重新排列该子集,然后从最大数开始交替地减,加后继的数,例如集合的交替和是集合的交替和为当集合中的集合的所有非空子集为则它的“交替和”的总和则当时    ,根据猜想集合的每一个非空子集的“交替和”的总和__________

试题详情

15、如图,等腰梯形中,边上的两个三等分点,若三角形分别沿折起,使得两点重合于一点,则二面角的大小为_________

试题详情


同步练习册答案