0  253153  253161  253167  253171  253177  253179  253183  253189  253191  253197  253203  253207  253209  253213  253219  253221  253227  253231  253233  253237  253239  253243  253245  253247  253248  253249  253251  253252  253253  253255  253257  253261  253263  253267  253269  253273  253279  253281  253287  253291  253293  253297  253303  253309  253311  253317  253321  253323  253329  253333  253339  253347  447090 

2、在⊿ABC中,D是BC边的中点,E在AC边上,且EC= EA,AD,BE交于F,求AF:FD

试题详情

2、已知,若的夹角为钝角,求的取值范围

⑻定比分点:

=

练习1、三点在一条直线上,为直线外任意一点,且存在实数使得,求实数的值和点分有向线段的比 .

试题详情

2、若将向量围绕原点按逆时针方向旋转得到向量,则向量的坐标为(  ).

    A.   B.   C.   D.

易错题:1、已知,则的夹角为____________

试题详情

2、若四边形ABCD满足,则四边形ABCD的形状是    .

试题详情

2、已知非零,①;②

;④,以上命题中正确的是________

零向量3、判断正误①若

          ②若,则

          ③若,则对任意向量,有

向量的运算性质:①对于任意向量,都有

         ②若,则=

         ③

练习:在⊿ABC中,,OD是AB边上的高,若,则实数等于(  )

 A、     B、     C、     D、

三角形问题:在⊿ABC中,,则下列推断不正确的是(  )

A.若>0,则⊿ABC是钝角三角形;  B.若=0,则⊿ABC为直角三角形;

C.若=,则⊿ABC是等腰三角形;

D.若,则⊿ABC为等边三角形

练习:1、已知⊿中,,若,求证:⊿ 为正三角形.

试题详情

1. 下列命题中: ① 若,且,则;    ② 若,则

,对任意向量都成立; 

 .

正确命题的个数为(     ).

  (A)0       (B)1      (C)2        (D)3

试题详情

17. (1)负电。q=mgtanθ/E

(2)/3     /2

试题详情

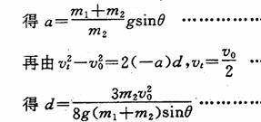
16. 解:(1 )ml对斜面体的压力大小为(m1+m2)gcos  斜面体静止,水平方向合力为零,则地面给斜面体的摩擦力 f = (ml+m2)gcos sin  方向水平向左

  (2)对ml进行分析,因相对斜面静止,故Ff’ =mlgsin

对m2应用牛顿第二定律得m2gsin+Ff=m2a`

试题详情


同步练习册答案