0  253170  253178  253184  253188  253194  253196  253200  253206  253208  253214  253220  253224  253226  253230  253236  253238  253244  253248  253250  253254  253256  253260  253262  253264  253265  253266  253268  253269  253270  253272  253274  253278  253280  253284  253286  253290  253296  253298  253304  253308  253310  253314  253320  253326  253328  253334  253338  253340  253346  253350  253356  253364  447090 

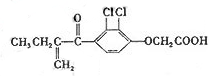
2、下列叙述正确的是  A、聚丙烯的结构简式为:CH2-CH2-CH2    B、石英的化学式为:CaSiO3  C、在CS2、PCl3中各原子最外层均能达到8电子的稳定结构 D、Ar原子的结构示意图为: 3、花青苷是引起花果呈现颜色的一种花色素,广泛存在于植物中。它的主要结构在不同pH条件下有以下存在形式: (GlC=葡萄糖基) 下列有关花青苷说法不正确的是  A、花青苷可作为一种酸碱指示剂           B、I和Ⅱ中均含有二个苯环  C、I和Ⅱ中除了葡萄糖基外,所有碳原子可能共平面 D、I和Ⅱ均能与FeCl3溶液发生显色反应 4、利尿酸在奥运会上被禁用,其结构简式如右图所示。下列叙述正确的是  A、利尿酸衍生物利尿酸甲酯的分子式是C14H14Cl2O4  B、利尿酸分子内处于同一平面的原子不超过10个  C、1mol利尿酸能与7mol H2发生加成反应     D、利尿酸能与FeCl3,溶液发生显色反应 5、纤维素被称为第七营养素.食物中的纤维素虽然不能为人体提供能量,但能促进肠道蠕动、吸附排出有害物质.从纤维素的化学成分看,它是一种  A.二糖      B.多糖       C.氨基酸     D.脂肪 6、根据下表中烃的分子式排列规律,判断空格中烃的同分异构体数目是

1
2
3
4
5
6
7
8
CH4
C2H4
C3H8
C4H8
 
C6H12
C7H16
C8H16

  A、3   B、4   C、5   D、6 7、仔细分析下列表格中烃的排列规律,判断排列在第15位烃的分子式是

1
2
3
4
5
6
7
8
9
……
C2H2
C2H4
C2H6
C3H4
C3H6
C3H8
C4H6
C4H8
C4H10
……

  A、C6H12   B、C6H14   C、C7H12   D、C7H14 8、将用于2008年北京奥运会的国家游泳中心(水立方)的建筑采用了膜材料ETFE,该材料为四氟乙烯与乙烯的共聚物,四氟乙烯也可与六氟丙烯共聚成全氟乙丙烯。下列说法错误的是  A、ETFE分子中可能存在“-CH2-CH2-CF2-CF2-”的连接方式  B、合成ETFE及合成聚全氟乙丙烯的反应均为加聚反应  C、聚全氟乙丙烯分子的结构简式可能为CF2-CF2-CF2-CF-CF3  D、四氟乙烯中既含有极性键又含有非极性键 9、下列除去杂质的方法正确的是: ①除去乙烷中少量的乙烯:光照条件下通入Cl2,气液分离;②除去乙酸乙酯中少量的乙酸:用饱和碳酸氢钠溶液洗涤,分液、干燥、蒸馏;③除去CO2中少量的SO2:气体通过盛饱和碳酸钠溶液的洗气瓶;④除去乙醇中少量的乙酸:加足量生石灰,蒸馏。

 A、①②   B、②④   C、③④   D、②③ 10、某有机化合物仅由碳、氢、氧三种元素组成,其相对分子质量小于150,若已知其中氧的质量分数为50%,则分子中碳原子的个数最多为  A、 4    B、 5    C、 6    D、 7 11、下列说法正确的是  A、乙烯的结构简式可以表示为CH2CH2    B、苯、乙醇和乙酸都能发生取代反应  C、油脂都不能使溴的四氯化碳溶液褪色 D、液化石油气和天然气的主要成分都是甲烷

试题详情

1.下列物质一定不是天然高分子的是

A  橡胶   B  蛋白质   C  尼龙   D  纤维素

试题详情

  P60 练习       P64-65 习题2.3 4、5、6

  练习中 1 口答        其中1、2、3 口答

试题详情

3.判断函数单调性的常用方法:定义法

图象观察-猜想-推理论证

试题详情

2.关于单调区间的概念;

试题详情

  解:定义域 {x|-1≤x≤1}  在[-1,1]上任取x1,x2x1<x2

   

-=

        =

 ∵  ∴  另外,恒有

  ∴若-1≤x1<x2≤0 则 x1+x2<0  则-  < 

   若  x1<x2≤1  则 x1+x2>0  则-  >

  ∴ 在[-1,0]上f(x)为增函数,在[0,1]上为减函数。

试题详情

      例二 定义法  见P59例二 (略)

      例三 定义法  见P59-60 例三 (略)

注意:课本中的两个“想一想” 同时强调观察-猜想-讨论的方法。

试题详情

3、讲解“单调区间”概念。  同时解释一下“严格”单调的意义。

试题详情

2、上升到理性,得出定义: (见P58)

     注意强调:1属于定义域I内某个区间上

            2任意两个自变量x1,x2x1<x2

3都有f(x1)<f(x2)

4可用P58的示意图

试题详情

1、观察讲解时注意:1“在区间上”

             2“随着x的…” “相应的y值…”

3“我们说函数…在…上是增(减)函数”

试题详情


同步练习册答案