0  257461  257469  257475  257479  257485  257487  257491  257497  257499  257505  257511  257515  257517  257521  257527  257529  257535  257539  257541  257545  257547  257551  257553  257555  257556  257557  257559  257560  257561  257563  257565  257569  257571  257575  257577  257581  257587  257589  257595  257599  257601  257605  257611  257617  257619  257625  257629  257631  257637  257641  257647  257655  447090 

6.关于1989年东部地区农业结构的说法正确的是   ☆

A.种植业产值约占农业总产值的61%    B.林牧渔业产值约占种植业产值的59%

C.种植业产值是林牧渔业产值的2.59倍  D.林牧渔业产值比种植业产值多59%

试题详情

5.导致图中自然景观分异的主要原因是

A.海陆位置          

B.地形地势

C.大气环流          

D.纬度位置   ☆

农业结构演变的规律性一般可用农业结构系数简单模拟,即种植业与林牧渔业产值的比值。右图为我国东部地区(指京、津、冀、鲁、沪、苏、浙、闽、粤、琼10省市)1978年--2005年农业结构系数与人均GDP关系图,读图回答6--8题。

试题详情

4.图中自然带I的植被类型是

A.常绿阔叶林         

B.落叶阔叶林

C.常绿硬叶林             

D.高山草甸

试题详情

3.制约③省区城镇分布及城镇人口规模的主导因素是   ☆

A.交通线分布及线路等级         B.水资源分布及数量

C.农业类型及农作物产量         D.海拔高度及耕地面积

右图为某区域自然带分布图,读图回答4--5题。

试题详情

2.表中反映的城市化与人均GDP的关系是

A.此阶段人均GDP与城市化水平呈负相关  B.城市化速度越快,人均GDP增长越多

C.城市化水平越高,人均GDP增长越多   D.城市化水平提高能带动人均GDP增长

试题详情

1.表中①②③④四省(区)依次是

A.川、晋、内蒙古、辽          B.辽、晋、川、内蒙古

C.川、辽、晋、内蒙古          D.辽、川、内蒙古、晋

试题详情

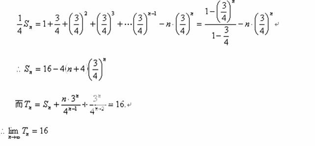
10.已知函数的反函数为,数列满足:,函数的图象在点处的切线在轴上的截距为.高☆考♂资♀源?网

试题详情

9.在△ABC中,sin(C-A)=1,sinB=

  (Ⅰ)求sinA的值;

  (Ⅱ)设AC=,求△ABC的面积.  

试题详情

8.一个圆锥的侧面展开图是圆心角为π,半径为18 cm的扇形,则圆锥母线与底面所成角的余弦值为________.高☆考♂资♀源?网

试题详情

7.直线x+ay+6=0与直线(a-2)x+3y+2a=0平行的充要条件是________.

试题详情


同步练习册答案