0  257508  257516  257522  257526  257532  257534  257538  257544  257546  257552  257558  257562  257564  257568  257574  257576  257582  257586  257588  257592  257594  257598  257600  257602  257603  257604  257606  257607  257608  257610  257612  257616  257618  257622  257624  257628  257634  257636  257642  257646  257648  257652  257658  257664  257666  257672  257676  257678  257684  257688  257694  257702  447090 

(二)坐标图:

如图为有丝分裂过程中核DNA与染色体变化曲线:1、根据间期核DNA分子复制,数目加倍,判定图中虚线表示DNA在有丝分裂过程中的数量变化。2、根据后期着丝点分裂,染色体数目加倍,可判定实线表示染色体在有丝分裂过程中的数量变化。3、根据实线,AB段表示间期、前期、中期染色体数目保持不变;BC段表示进入期,着丝点分裂,姐妹染色单体分开成为两条染色体,染色体数目加倍;CD段表示期细胞内染色体数目为正常体细胞的倍;DE段表示进入期,两组相同的染色体分别进入两个子细胞内,子细胞中染色体数目恢复正常。4、根据虚线,间期ad段可分为三个阶段:ab段表示进入间期,DNA分子复制前;bc段表示DNA分子的复制过程;cd段表示DNA分子复制完成。de段表示前、中、后期核内DNA分子数为正常体细胞的两倍;ef段表示随着两组染色体进入两个子细胞中,子细胞中核内DNA分子数目也恢复正常。5、有丝分裂过程中,染色体或核DNA的变化均可表示为:2N4N2N,这种变化保证了遗传物质的亲代细胞与子代细胞之间的稳定性。6、图中有一不科学之处,间期所占时间过短,应占整个细胞周期的90%-95%

[基础训练]1、下列关于DNA分子和染色体数目的叙述,正确的是(  D  )

A、有丝分裂间期细胞中染色体数目因DNA复制而加倍

B、有丝分裂后期细胞中DNA分子数目因染色体着丝点分裂而加倍

C、有丝分裂中期和后期,染色体数相同、DNA分子数不同

D、有丝分裂前期和中期的细胞中,染色体数、染色单体数、DNA分子数之比均为1︰2︰2

2、如图是细胞有丝分裂几个时期的示意图,分析以下叙述中,不正确的是(  D  )

A、②期与③期细胞内染色体数目相等

B、④期的母细胞有4条染色体

C、①期的细胞内含有4条染色体

D、③期是观察辩认染色体形态和数目的最佳时期

3、请根据有丝分裂中核内DNA变化曲线和分裂图像回答下列问题:

(1)a-b表示分裂间期,与它对应的分裂图像是

(2)b-c表示前、中、后期,依次对应于分裂图像②①⑤

(3)c-d表示期,它对应的分裂图像是,该时期参与活动的细胞器为高尔基体和线粒体

(4)d以后表示下一个细胞周期或间期。

(5)从一个细胞周期中DNA含量的变化规律分析,有丝分裂的重要特征是亲、子代细胞核内DNA含量和染色体数保持不变

[高考模拟]4、(2008泰州模拟)下列与细胞分裂无直接关系的生理活动是(  D  )

A、高等动物的胚胎发育                  B、单细胞生物的繁殖

C、病人手术后伤口的复原                D、噬菌体在大肠杆菌内增殖

5、(2007烟台模拟)观察风信子根尖细胞的永久装片时,可在视野中找到图中的几种形态的细胞,其细胞内a、b、c的数量关系符合直方图所示的是(a是染色体数,b是染色单体数,c是DNA分子数)(  A  )

A、①②            B、①③             C、②③            D、②④

试题详情

(一)细胞分裂图。该图显示以下信息:1、是动物细胞(无细胞壁、有中心体)。2、有丝分裂(移向每一极的染色体中均存在同源染色体)。3、处于分裂期(着丝点已分裂,子染色体向极移动,无染色单体)。4、该生物体细胞中染色体数为4条。5、该生物体细胞细胞质的分裂方式为细胞膜内陷缢裂。6、该图每极各有个染色体组,共有个染色单体组。

试题详情

(二)选考题(共45分。请考生从给出的2道物理题、2道化学题、2道生物题中每科任选1题做答,并用2B铅笔在答题卡上把所选题目的对应题号涂黑。注意所做题目必须与所涂题目的题号一致,在答题卡选答区域指定位置答题。如果多做,则每学科按所做的第一题给分。)

33.[物理--选修3-4]‘(15分)

    (1)(5分)如图(甲)是沿z轴正方向传播的一列横波在t=0的一部分波形,此时P点的位移为y0。则此后P点的振动图象是如图(乙)中的      (填人选项前的字母,有填错的不得分)。

  (2)(10分)如图所示,将一个折射率为”的透明长方体放在空气中,矩形ABCD是它的一个截面,一单色细光束入射到P点,入射角为求:

①若要使光束进入长方体后能射至AD面上,角的最小值为多少?

  ②若要此光束在AD面上发生全反射,角的范围如何?

34.[物理--选修3-5](15分)

  (1)(5分)下列说法中正确的是     (填人选项前的字母,有填错的不得分)。

       A.光电效应实验证实了光具有粒子性

       B.太阳辐射能量主要来自太阳内部的裂变反应

       C.按照玻尔理论,电子沿某一轨道绕核运动,若其圆周运动的频率是。,则其发光频率也是v

   D.质子、中子、氘核的质量分别为m1、m2和m3,当一个质子和一个中子结合成一个氘核时,释放的能量是(m1+m2一m3)c2

  (2)(10分)光滑水平面上,用弹簧相连接的质量均为2 kg的A、B两物体都以速度向右运动,弹簧处于原长。质量为4 kg的物体C 静止在前方,如图所示,B与C碰撞后粘合在一起运动,求:

①B、C碰撞刚结束时的瞬时速度;

  ②在以后的运动过程中,物体A是否会有速度等于零的时刻?试通过定量分析,说明你的理由。

35.[化学--选修化学与生活](15分)

麻醉剂的发现和使用,是人类医疗史上一项了不起的成就,它可使患者在接受治疗时感觉不到疼痛。

  (1)笑气是人类最早应用于医疗的麻醉剂之一,它可由NH4NO3在微热条件下分解产生,

产物除N2O外还有一种,此反应的化学方程式为              

N2O也可以通过强还原性金属(如Mg)与稀HNO3反应制得,写出该反应的离子方程式:                

每生成标准状况下2.24 L N2O,消耗HNO3的物质的量为      mol。

  (2)另一种常用麻醉剂氯仿,常因保存不慎而被氧化,产生剧毒物光气(COCl2):2CHCl3+O2===2HCl+2COCl2,为了防止事故,使用前可用于检验氯仿是否变质的试剂是         。

        A.淀粉一碘化钾溶液            B.NaOH溶液

        C.酚酞溶液                   D.硝酸酸化的AgNO3溶液

  (3)氯普鲁卡因盐酸盐是一种局部麻醉剂,麻醉作用较快,较强,毒性较低,其结构简式为

   

其反应方程式为                             

   

再经过         反应(填反应类型)来合成          ,再经

过一系列反应来合成。

  (4)作为麻醉剂,氙气在医学上也很受重视,氙气能溶于细胞质的油脂里,引起细胞的麻醉和膨胀,从而使神经末梢作用暂时停止。人们曾试用体积分数为800的氙气和200的氧气组成的混合气作为无副作用的麻醉剂。氙在元素周期表中位于第   周期,       族,此麻醉剂的平均相对分子质量为     

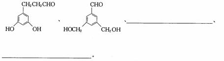
36.[化学--选修有机化学基础](15分)

肉桂酸甲酯是常用于调制具有草莓、葡萄、樱桃、香子兰等香味的食用香精。它的分子式为C10H10O2,且分子中只含有1个苯环,苯环上只有一个取代基。现测出它的核磁共振氢谱图有6个峰,其面积之比为1:2:2:1:1:3。利用红外线光谱仪可初步检测有   机化合物中的某些基团,现测得它分子的红外光谱如下图:

  试回答下列问题:

  (1)肉桂酸甲酯的结构简式为             

  (2)G为肉桂酸甲酯的一种同分异构体,其分子结构模型如右

图所示(图中球与球之间连线表示单键或双键)。

  用芳香烃A为原料合成G的路线如下:

①化合物E中的含氧官能团有       (填名称)。

②A-B的反应类型是         ,E→F的反应类型是     

③书写化学方程式:

C→D:                          

  E→H:                             

④其中E的同分异构体甚多,其中有一类可用通式        表示(其中X、

Y均不为H)。符合上述通式且能发生银镜反应的同分异构体有四种,其中两种的结构简式如下,请写出其他两种的结构简式。

   

37.[生物--选修1  生物技术实践](15分)

植物组织培养的培养基中加有激素。下表是培养基中两种植物激素在不同比例时的实验

结果,请分析回答:

实验组别
1
2
3
4
激素种类及浓度关系
6一BA
6一BA>IAA
6一BA-IAA
6一BA<IAA
结果
组织块产生愈伤组织
愈伤组织分化出芽
愈伤组织不断生长
愈伤组织有长根趋势

  (1)6一BA属于     类激素,IAA属于       类激素。

  (2)在植物组织培养中,脱分化可用的激素组合是实验      中的激素浓度关系,再分化时可用的激素组合是实验      中的激素浓度关系。

  (3)判断愈伤组织是否产生的依据是看是否形成了             的细胞。

  (4)植物组织培养的培养基是     培养基(按物理性质),除激素外,至少还应该含有          (至少填三种)等。

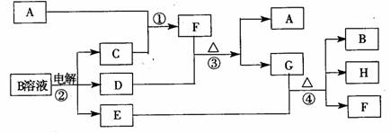
38.[生物--选修3现代生物科技专题](15分)

人的血清白蛋白(HAS)在临床上需求量很大,通常从血液中提取。但由于艾滋病病毒等的威胁与日俱增,使人们对血液制品的使用顾虑重重。如果应用现代生物科学技术,将人的血清白蛋白基因导人奶牛细胞中,那么利用牛的乳汁生产血清白蛋白就会安全、高效地满足人类需求。下图是利用奶牛乳汁生产人类血清白蛋白的图解,根据下图回答:

   

  (1)以上过程涉及的现代生物技术中,属于细胞工程的有          

  (2)在基因工程中,我们称①为目的基因,请你举出获取目的基因的主要方法:  

(至少答两种)。在①进入③之前要构建基因表达载体,这是基因工程的核心,除目的基因外,基因表达载体还必须含有         ,将①导人③的常用方法是                    

  (3)图中②一般经过       处理可以得到③,从③到④的过程中一般利用未受精的卵母细胞去核后作为受体细胞,对卵母细胞的去核处理一般选择在      

时期进行。

  (4)将⑤送人⑦的最佳时期是         期。

  (5)在胚胎发育过程中,囊胚进一步扩大,会导致        破裂,胚胎从中伸展出来,这一过程叫做              。

试题详情

(一)必考题(11题,共129分)

22.(6分)某同学为了探究“恒力做功与物体动能变化的关系”,他设计了如下实验:

  (1)他的操作步骤是:

  ①安装好实验装置如图。

②将质量为200 g的小车拉到打点计时器附近,并按住小车。

③在质量为10 g、30 g、50 g的三种钩码中,他挑选了一个质量为50 g的钩码挂在拉线P上。

④先接通打点计时器的电源,后释放小车,打出一条纸带。

  (2)在多次重复实验得到的纸带中取出自认为满意的一条,经测量、计算,得到如下数据:(g=9.8 m/s2)

①第一个点到第N个点的距离为40.00 cm。

②打下第N点时小车的速度大小为1.20 m/s。该同学将钩码的重力当做小车所受的拉力,算出从打下第一点到打下第N点拉力对小车做的功为     J,小车动

能的增量为      J(计算结果保留三位有效数字)。

  (3)此次实验探究结果的误差很大,显然,在实验探究过程中忽视了某些产生误差的因素。请你根据该同学的实验装置和操作过程帮助他分析一下,造成较大误差的主要原因是:①            ,②             

   

23.(9分)二极管是一种半导体元件,它的符号为“      ”,其特点是具有单向导电性,

即电流从正极流人时电阻比较小,而从负极流入时电阻比较大。

  (1)某课外兴趣小组想要描绘某种晶体二极管的伏安特性曲线。因二极管外壳所印的标识模糊,为判断该二极管的正、负极,他们用多用电表电阻挡测二极管的正、反向电阻。其步骤是:将选择开关旋至合适倍率,进行欧姆调零,将黑表笔接触二极管的左端、红表笔接触右端时,指针偏角比较小。然后将红、黑表笔位置对调后再进行测量,指针偏角比较大,由此判断      (选填“左”、“右”)端为二极管的正极。

    (2)厂家提供的伏安特性曲线如下函,为了验证厂家提供的数据,该小组对加正向电压时的伏安特性曲线进行了描绘,可选用的器材有:  

        A.直流电源E:电动势3 V,内阻忽略不计

        B.滑动变阻器R:0-20 Ω

        C.电压表V-:量程5 V、内阻约50 kΩ

        D.电压表V::量程3 V、内阻约20 kΩ

        E.电流表A:量程0.6 A、内阻约0.5 Ω

        F.电流表mA:量程50 mA、内阻约5 Ω

        G.待测二极管D

       H.单刀单掷开关S,导线若干

为了提高测量结果的准确度,电压表应选用    ,电流表应选用(填序号字母)。

  (3)为了达到测量目的,请在答题卡上虚线框内画出正确的实验电路原理图。

   

  (4)为了保护二极管,正向电流不要超过25 mA,请你对本实验的设计或操作提出一条合理的建议:                              

                                        

24.(14分)如图所示,ABC和DEF是在同一竖直平面内的两条光滑轨道,其中ABC的末端水平,DEF是半径为r=0.4 m的半圆形轨道,其直径DF沿竖直方向,C、D可看做重合。现有一可视为质点的小球从轨道ABC上距C点高为H的地方由静止释放。

  (1)若要使小球经C处水平进入轨道DEF且能沿轨道运动,H至少要有多高?

    (2)若小球静止释放处离C点的高度h小于(1)中H的最小值,小球可击中与圆心等高的E点,求此h的值。(取g=10m/s2)

25.(18分)如图所示,两电阻不计的足够长光滑平行金属导轨与水平面夹角为,导轨间距为l,所在平面的正方形区域abcd内存在有界匀强磁场,磁感应强度大小为B,方向垂直于斜面向上。如图所示,将甲、乙两阻值相同,质量均为m的相同金属杆放置在导轨上,甲金属杆处在磁场的上边界,甲、乙相距l。从静止释放两金属杆的同时,在金属杆上施加一个沿着导轨的外力,使甲金属杆在运动过程中始终沿导轨向下做匀加速直线运动,且加速度大小以,乙金属杆刚进入磁场时做匀速运动。 

  (1)求每根金属杆的电阻R为多少?

  (2)从刚释放金属杆时开始计时,写出从计时开始到甲金属杆离开磁场的过程中外力F随时间t的变化关系式,并说明F的方向。

    (3)若从开始释放到两杆到乙金属杆离开磁场,乙金属杆共产生热量Q,试求此过程中外力F对甲做的功。

26.(4分)下图为从反面琴到的某套实验装置示意图,无法看到实验说明,加热装置已经省

  略。 

甲同学认为此套装置用于合成物质X,E处冰水冷却的U形管中有固体X(X溶于水得到中学化学常见强酸)出现;乙同学认为此套装置用于合成物质Y,E处冰水冷却的U形管中才有红棕色气体Y生成,并且越接近U形管底部颜色越浅。对于A处,甲认为有加热装置,乙认为没有。

  (1)事实上此装置所附实验说明符合甲同学的推断,那么X的化学式是      ,C  装置中盛放的液体药品是      。其作用是             

                         

  (2)若要用上述装置完成乙同学所认为的实验,C处所起作用与合成X时所起作用相似,那么C处的广口瓶应改为         ,所装药品为        

  (3)写出乙同学认为的D装置中发生反应的化学方程式           ;为什么此时U形管中的红棕色气体越接近管底颜色越浅?           

27.(15分)下图为中学化学中几种常见物质之间的转化关系。

   

已知:

①A、C、D是常见的气体单质;

②F气体极易溶于水,且液态常用做制冷剂;

③G为易溶性的盐,E为白色沉淀;

④H为无色液体化合物。

  (1)写出D的原子结构示意图             

  (2)鉴定G中阳离子的实验方法和现象                    

                                         

                                        

  (3)反应②的离子方程式                        

  (4)反应③的化学方程式                       

  (5)将等物质的量的F与G溶于水,所得溶液pH>7,则该溶液中各种离子浓度大小顺序为                       

28.(14分)某化学兴趣小组,专门研究了氧族元素及其某些化合物的部分性质。查得的资料如下:

①常温下,硒(Se)和碲(Te)为固体,H2Se和H2Te为气体

②Te和H2不能直接化合生成H2Te;

③氧气、硫、硒、碲与1 mol H2反应的焓变(△H)情况如下表所示。

物质
O2
S
Se
Te
△H(kJ·mol-1)
-242
-20
81

请回答下列问题:

  (1)写出氧族元素中含有18个电子的两种氢化物的化学式            

  (2)写出硒化氢发生分解反应的热化学方程式:             

  (3)已知H。Te分解反应的△S>0,△H=-154 kJ·mol-1,请解释Te和H2不能直接化

合的原因:                         

  (4)H2S的水溶液显弱酸性,写出其电离方程式:              ;它的第一级电离常数可用Kai来表示,当温度升高时,Kai的值     (填“一定增大”、“一定减小”或“不能确定”)。

  (5)在容积均为1 L(容器体积不可变)的甲、乙两个容器中,分别充人2mol SO2、1 mol O2和4 mol SO2、2 mol O2,在相同条件下使其反应。最终达到平衡后,甲、乙两容器中SO2转化率分别为50%和a(乙),则反应的平衡常数KC=     L·mol-1(填写具体数据),此时a(乙)     50%(填“大于”、“小于”或“等于”)。

29.(10分)下图所示是肝细胞中所进行的有关生理过程,请据图回答:

   

  (1)肝细胞所处的内环境是           

  (2)在肝细胞A中,促进①过程的激素主要是      ,完成⑤和⑧的场所分别是

                    

  (3)肝细胞B产生的CO2进入血液通过血液循环引起呼吸中枢的兴奋,并使呼吸加快,

CO2对这种生理活动的调节方式叫做         。

  (4)从胰岛素的生理作用看,它能促进图中哪些生理过程?         (填序号)。

  (5)引起糖尿病的原因主要有两点:胰岛素分泌不足和身体对胰岛素反应不敏感。目前对于一些糖尿病初期的病人可口服一些降糖药以调节血糖平衡,如磺脲药和苯甲酸衍生物双胍药、葡萄糖苷酶抑制剂等。请结合所学知识推测这类降糖药的主要作用机理是      (多选)。

       A.补充胰岛素                 B.补充胰高血糖素

       C.促进胰岛素的释放           D.增强身体对胰岛素的敏感性

30.(10分)鸡的羽毛有芦花和非芦花两种,由一对同源染色体上的一对等位基因控制,芦花(B)对非芦花(b)为显性。芦花鸡羽毛在雏鸡阶段的绒羽为黑色且头顶有黄色斑点。为了确定B和b基因的位置(即B、b基因是位于常染色体、Z染色体的非同源区段还是Z、W染色体的同源区段),可选择纯合的芦花雌鸡和非芦花雄鸡杂交(Z。w和Z“W看作纯合子)。

  (1)若F1表现型为                   ,则可以肯定B、b基因位于Z染色体的非同源区段(即w染色体上没有与之等位的基因)上。

  (2)若Fl全为芦花鸡,则B、b基因位于                 。若欲再通过一代杂交作进一步的判断,其最简单的方法是           

  (3)假设实验已确定B、b基因位于Z染色体的非同源区段上。、现有一蛋用鸡养殖场为了降低饲养成本,提高经济效益,在他们扩大养殖规模时,请你为他们提供一种亲本配种的方法及筛选的措施,以实现他们的愿望。

亲本的基因型:             。筛选措施:          

                                    

31.(9分)为了验证环境因子如光照、二氧化碳的不足分别对光合作用的影响,可将叶片用打孔器打取小圆片,抽取叶内气体使之下沉于水中,在不同条件下根据叶圆片上浮所需时间的长短推测光合作用的相对强弱。请回答:

  (1)实验假设:光照强弱、CO2等条件都会影响光合作用。

  (2)实验组1:取三角瓶,编号A,加入一定量的冷开水;再加人一定量的NaHCO3粉末,使其在水中溶解;用黑纱布(透弱光)包裹三角瓶后,适宜温度下水浴保温;放入下沉小叶圆片10片,将三角瓶置于日光灯下;记录叶片上浮所需时间或一定时问内的上浮叶片数。

参照实验1简要写出实验组2应变化的条件:                 

                                  

参照实验1简要写出对照组应变化的条件:                 

                                   

  (3)预期结果:

实验组1                               

实验组2                               

对照组                               

  (4)浸没于水中的叶圆片上浮的原因是                               

32.(10分)右图是生态系统中碳循环示意图,图中“→”表示碳的流动方向。请回答:

   

  (1)写出图中的食物链(用字母表示)         

  (2)碳由生物群落返回无机环境的途径有        

碳由无机环境进人生物群落的主要形式是      

  (3)若生产者有5000 kg,按能量最大传递效率计算,位于

第三营养级的生物可增重       kg。

  (4)据测定,生产者在黑暗中每小时释放出44 mg的CO2,而在光照充足的条件下,每小时释放出32 mg的O2,则生产者每小时实际产生的O2量为      mg。

试题详情

  14.前不久,在温哥华冬奥运动会上我国冰上运动健儿表现出色,取得了一个又一个骄人的成绩。如图(甲)所示,滑雪运动员由斜坡高速向下滑行,其速度一时间图象如图(乙)所示,则由图象中AB段曲线可知,运动员在此过程中                                   (   )

     A.做曲线运动                    B.机械能守恒

     C.所受力的合力不断增大           D.平均速度

  15.从地面以大小为v1,的初速度竖直向上抛出一个皮球,经过时

间t皮球落回地面,落地时皮球的速度大小为v2已知皮球在运

动过程中受到空气阻力的大小与速度的大小成正比,重力加速

度大小为g。下面给出时间t的四个表达式中只有一个是合理的。

你可能不会求解t,但是你可以通过一定的物理分析,对下列表

达式的合理性作出判断。根据你的判断,你认为t的合理表达式

应为                                       (   )

     A.                     B.    

    C.                      D.

  16.2009年被确定为国际天文年,以此纪念伽利略首次用望远镜观测星空400周年。从伽利略的“窥天”创举,到20世纪发射太空望远镜--天文卫星,天文学发生了巨大飞跃。2009年5月14日,欧洲航天局又发射了两颗天文卫星,它们飞往距离地球约160万千米的第二拉格朗日点(图中L2)。L2点处在太阳与地球连线的外侧,在太阳和地球的引力共同作用下,卫星在该点能与地球同步绕太阳运动(视为圆周运动),且时刻保持背对太阳和地球的姿势,不受太阳的干扰而进行天文观测。不考虑其他星球影响,下列关于工作在L2点的天文卫星的说法中正确的是       (   )

    A.它绕太阳运行的周期比地球绕太阳运行的周期大

    B.它绕太阳运行的角速度比地球绕太阳运行的角速度小

    C.它绕太阳运行的线速度与地球绕太阳运行的线速度相等

     D.它绕太阳运行的向心加速度比地球绕太阳运行的向心加速度大

  17.北半球地磁场磁感应强度的竖直分量方向竖直向下。如图所示,

在长沙某中学实验室的水平桌面上,放置边长为L的正方形闭

合导体线圈abcd,线圈的ab边沿南北方向,ad边沿东西方向。

下列说法中正确的是                           (   )

     A.若使线圈向东平动,则a点的电势比b点的电势高

     B.若使线圈向北平动,则a点的电势比b点的电势低

     C.若以以6为轴将线圈向上翻转,则线圈中感应电流方向为a→b→c→d→a

     D.若以n6为轴将线圈向上翻转,则线圈中感应电流方向为a→d→c→b→a

  18.电视机的显像管中,电子柬的偏转是用磁偏转技术实现的。电子束经过加速电场后,进入一圆形匀强磁场区,如图所示。磁场方向垂直于圆面,磁场区的中心为O,半径为r。当不加磁场时,电子束将通过0点而打到屏幕的中心M点。为了让电子束射到屏幕边缘P,需要加磁场,如果发现电视画面的幅度比正常的偏小,可能引起的原因是  (   )

    A.电子枪发射能力减弱,电子数减少   B.加速电场的电压过高,电子速率偏大

    C.偏转线圈电流增大,偏转磁场增强   D.偏转线圈电流过小,偏转磁场减弱

  19.如图所示,放置在水平地面上的支架质量为M,支架顶端用细线拴着的摆球质量为m,现将摆球拉至水平位置,然后从静止释放,摆球运动过程中,支架始终不动,则从释放至运动到最低点的过程中有          (   )

     A.在释放瞬间,支架对地面压力为(m+M)g

     B.摆动过程中,支架对地面压力一直增大

     C.摆球到达最低点时,支架对地面压力为(2m+M)g

     D.摆动过程中,重力对小球做功的功率一直增大

  20.x轴上有两点电荷Q1和Q2,Q1和Q2的位置坐标分别为x1、x2。Q1和Q­2之间各点对应的电势高低如图中曲线所示,从图中可看出                        (   )

    A.Q1的电荷量一定小于Q2的电荷量

     B.Q1和Q2一定是同种电荷,但不一定是正电荷

     C.电势最低处P点的电场强度为零

     D.将一负点电荷由xP,点的左侧移至右侧,电场力先做正功

后做负功

21.如图所示,在光滑的水平面上放着两块长度相等,质量分别为M1和M2的木板,在两木板的左端分别放有一个大小、形状、质量完全相同的物块。开始都处于静止状态,现分别对两物块施加水平恒力F1F2,当物块与木板分离后,两木板的速度分别为V1和V2。若已知v1>v2,且物块与木板之间的动摩擦因数相同,需要同时满足的条件是(   )

      A.F1=F2,且M1>M2               

    B.F1=F2,且Ml<M2

    C.F1>F2,且M1=M2

    D.F1<F2,且M1=M2

第Ⅱ卷(非选择题,共174分)

试题详情

13.将17.9 g Al、Fe、Cu组成的合金溶于足量的NaOH溶液中,产生气体3.36 L(标准状况)。另取等质量的合金溶于过量的稀硝酸中,生成6.72 L NO(标准状况),向反应后的溶液中加人过量的NaOH溶液,得到沉淀的质量为                  (   )

   A.33.2 g       B.25.4 g        C.22.4 g       D.19.6 g

试题详情

12.西维因是一种高效低毒杀虫剂,在碱性条件下可水解:                 

   

   有关说法正确的是                                              (   )

   A.西维因分子式为C12H10NO2

   B.反应后的溶液经酸化,可用FeCl3溶液检验西维因是否已经发生水解  

   C.1 mol西维因最多能与6 mol氢气发生加成反应

   D.西维因分子中至少有21个原子共平面

试题详情

11.根据化学平衡知识,判断下列说法正确的是                           (   )

    A.已知NaHA溶液呈弱碱性,则该溶液中下列各种微粒浓度大小排列顺序为

    c(Na+)>c(HA)>c(A2-)>c(H2A)

    B.在小苏打溶液中存在下列关系:c(HCO-3)=c(Na+)-C(CO2-3)-c(H2CO3)

    C.向AgCl悬浊液中加人足量的NaI溶液,无明显现象产生

    D.常温下,稀释0.1 mol/L的氨水,溶液中所有离子浓度均下降

试题详情

10.右表为短周期的一部分,推断关于Y、Z、M的说法

正确的是                         (   )

     A.非金属性:Y>Z>M

     B.原子半径:M>Z>Y

     C.气态氢化物的稳定性:Y<M<Z

     D.ZM。分子中各原子的最外层均满足8e稳定结构

试题详情

9.高铁电池的总反应为                                            

   

下列叙述错误的是                                              (   )

     A.放电时每转移6 mol电子,负极有2 mol K2FeO被还原

     B.充电时阴极反应为Zn(OH)2+2e-===Zn+2OH-

       C.放电时正极反应为FeO2-4+3e-+4H2O===Fe(OH)3+5OH-

     D.充电时Zn电极与外电源的负极相连

试题详情


同步练习册答案