0  265736  265744  265750  265754  265760  265762  265766  265772  265774  265780  265786  265790  265792  265796  265802  265804  265810  265814  265816  265820  265822  265826  265828  265830  265831  265832  265834  265835  265836  265838  265840  265844  265846  265850  265852  265856  265862  265864  265870  265874  265876  265880  265886  265892  265894  265900  265904  265906  265912  265916  265922  265930  447090 

图2为北半球某地正午太阳高度年变化示意图,MN差值为20°。读图回答3-4题。

3.该地纬度为

  A.10°N   B.20°N   C.40°N   D.60°Nks  5u

4.图中日期和我国文化现象大致对应正确的是

  A.①--立鸡蛋,踏青插柳   B.②--吃月饼,共庆团圆

  C.③一放鞭炮,守岁迎春    D.④--望双星,鹊桥相会

试题详情

   2010年3月27日,全球6000多个城市分别在当地时间20时30分至21时30分熄灯一小时,以此响应世界自然基金会发起的“地球一小时”活动。读图1回答1-2题。

1.图中四城市参加了本次活动,下列说法正确的是

  A.最先熄灯的是里约热内卢

  B,该日正午太阳高度角最小的是哥本哈根

  C.自转线速度由大到小依次是哥本-旨根,北京、新加缓、里约热内卢

  D.该日昼长由长到短依次是新加坡、哥本哈根.里约热内卢、戈京

2.下列与。地球一小时”活动主题一致的是

  A.里约热内卢所在国东部人口向西部迁移

  B.2009年在哥本哈根举行的世界气侯变亿大会

  C 2009年我国国务院批复或立毒峡西岸经济区

  D 2009年新加坡举办亚太经合组织领导人会设ks  5u

试题详情

49、(福建省福州市2010届高三上学期化学测试模拟卷,6)化学在生产和日常生活中有着重要的应用。下列说法不正确的是(  )

A.明矾水解形成的胶体能吸附水中悬浮物,可用于水的净化

B.在海轮外壳上镶入锌块,可减缓船体的腐蚀速率

C.的熔点很高,可用于制作耐高温材料

D.电解MgCl2饱和溶液,可制得金属镁

试题详情

48、(浙江温州市2010届五校第一学期期末联考,7)化学与生活、社会密切相关。下列说法不正确的是(   )

A.低碳生活就是节能减排,尽量使用太阳能等代替化石燃料,减少温室气体的排放

B.聚氯乙烯不能使溴的四氯化碳溶液褪色

C.为了减少“白色污染”,我国规定商家不得无偿提供塑料袋

D.三聚氰胺(cyanuramide,分子式C3H6N6)含氮量很高,可作为牛奶添加剂

试题详情

47、(山东省济南市2010届高三年级第一次模拟考试,1)联合国气候变化大会于2009年1 2月7日-18日在丹麦首都哥本哈根召开,焦点议题之一是发展“低碳经济”,减少温室气体排放。你认为下列做法中.不能有效减少空气中CO2含量的是                                                            (   )

     A.开发利用太阳能、风能、生物能、海洋能等清洁能源

     B.使用节能产品,推广节能环保汽车

     C.植树造林,增加森林植被面积

     D.用脱硫处理的煤代替原煤作燃料

试题详情

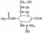
46、(2010届无锡市普通高中高三质量调研,9)“甲型H1N1”流感疫情已构成“具有国际影响的公共卫生紧急事态”。已知扎那米韦是流感病毒神经氨酸酶抑制剂,其对流感病毒的抑制是以慢结合的方式进行的,具有高度特异性,其分子结构如图所示。

下列说法正确的是

A.该物质的分子式为C12H19N4O7

B.1mol该物质与NaOH溶液反应,可以消耗4molNaOH

C.在一定条件下,该物质可以发生消去、加成、取代等反应

D.该物质能使溴水或高锰酸钾溶液褪色,能与FeCl3溶液发生显色反应

高频考点十六  化学与生活

试题详情

45、(浙江省衢州三中2010届高三第一次理综,13)某有机物的结构简式为: ,1mol该有机物与足量的NaOH溶液在一定条件下充分反应,消耗的NaOH的物质的量为

A.5 mol      B.4 mol       C.3 mol      D.2 mol

试题详情

44、(2010年长春市高中毕业班第一次调研测试,10)主链上有5个碳原子,含甲基,乙基两个支链的烷烃有

A.5种      B.4种      C.3种      D.2种

高频考点十五  有机物的结构与性质

试题详情

43、(2010年长春市高中毕业班第一次调研测试,7)下列关于常见的有机物的说法中不正确的是

A.乙酸和油脂都能有机物的说法中不正确的是

B.苯和甲烷都不能使酸性高锰酸钾溶液褪色

C.乙烯和甲烷不能用溴的四氯化碳溶液鉴别

D.糖类和蛋白质都是人体重要的营养物质

试题详情

42、(哈师大附中、东北师大附中、辽宁省实验中学2010年高三一模,8)下列物质互为同分异构体的是

A.正丁烷和异丁边烷                   B.甲醇和乙醇         

C.苯和环己烷                        D.淀粉和纤维素

试题详情


同步练习册答案