0  265937  265945  265951  265955  265961  265963  265967  265973  265975  265981  265987  265991  265993  265997  266003  266005  266011  266015  266017  266021  266023  266027  266029  266031  266032  266033  266035  266036  266037  266039  266041  266045  266047  266051  266053  266057  266063  266065  266071  266075  266077  266081  266087  266093  266095  266101  266105  266107  266113  266117  266123  266131  447090 

23.某同学制作了DNA分子双螺旋结构模型,其中一条链所用A、C、T、G碱基模型的数量比为1:2:3:4,则该DNA分子模型中上述碱基模型的数量比应为(  )

A、1:2:3:4    B、3:4:1:2   C、1:1:1:1    D、2:3:2:3

试题详情

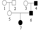
22.右图示调查到的某家族慢性肾炎遗传图谱,请分析,此病极可能属于( )

A、常染色体显性遗传

B、常染色体隐性遗传

C、伴X染色体显性遗传

D、伴X染色体隐性遗传

试题详情

21.甲家庭中丈夫患抗维生素D佝偻病,妻子表现正常;乙家庭夫妻表现都正常,但妻子的弟弟是红绿色盲患者,从优生学的角度考虑,甲乙家庭应分别选择生育(  )

A、男孩,男孩    B、女孩,女孩    C、男孩,女孩    D、女孩,男孩

试题详情

20.右图是一个血友病遗传系谱图,从图可以看出患者7的

致病基因来自(  )

A、1        B、4

C、1和3      D、1和4

试题详情

19.豌豆子叶的黄色(Y),圆粒种子(R)均为显性。两

亲本豌豆杂交的F1表型如右图。让F1中黄色圆粒豌豆

与绿色皱粒豌豆杂交,F2的性状分离比为(  )

A、9:3:3:1        B、3:1:3:1

C、1:1:1:1        D、2:2:1:1

试题详情

18.家族性高胆固醇血症是一种遗传病,杂合子约到50岁就常患心肌梗塞,纯合子常在30岁左右死于心肌梗塞,不能生育。一对患有家族性高胆固醇血症的夫妇,已生育了一个完全正常的儿子,如果再生育一个孩子,该孩子能活到50岁的概率是

A、1/4         B、1/2       C、2/3      D、3/4

试题详情

17、若某动物细胞内有两对同源染色体,分别用A和a,B和b表示。下列各组精子中由同一个精原细胞经减数分裂形成的是(不考虑交叉互换的情况)(  )

A、AB、ab、ab、AB      B、AB、aB、aB、AB

C、AB、Ab、aB、ab      D、aB、aB、ab、ab

试题详情

16.对某生物进行测交实验得到4种表现型(3对基因自由组合),数目比为58:60:56:61,则此生物的基因型不可能是(  )

A、AABbCc    B、AaBbCc    C、aaBbCc    D、AaBbCC

试题详情

15.右图为某高等哺乳动物的一个细胞示意图,该细胞属于(  )

A、卵原细胞         B、初级卵母细胞 

C、第一极体         D、卵细胞

试题详情

14.人类的多指是一种显性遗传病,白化病是一种隐形遗传病,已知控制这两种疾病的等位基因都在常染色体上,而且都是独立遗传的,在一个家庭中,父亲是多指,母亲正常,他们有一个患白化病的儿子,如果再生育一个孩子,则下一个孩子正常或同时患有此两种病的概率分别是(  )

A、3/4 ,1/4     B、3/8,1/8        C、1/4 , 1/4    D、1/4,1/8

试题详情


同步练习册答案