0  266916  266924  266930  266934  266940  266942  266946  266952  266954  266960  266966  266970  266972  266976  266982  266984  266990  266994  266996  267000  267002  267006  267008  267010  267011  267012  267014  267015  267016  267018  267020  267024  267026  267030  267032  267036  267042  267044  267050  267054  267056  267060  267066  267072  267074  267080  267084  267086  267092  267096  267102  267110  447090 

33.(6分)化学实验室有ABCDEF六瓶无色透明溶液,它们分别是碳酸钠、氢氧化钠、氢氧化钙、氯化钠、酚酞、盐酸中的一种。为了区别它们,化学小组同学分别进行下列实验(实验步骤略去):

 

     A      B      C      D      E      F

Ⅰ.将B分别滴入ACDEF中,A有气泡产生,E显红色,C产生白色沉淀,其余均无明显现象。

Ⅱ.将E分别滴入ABCDF中, BCD均显红色,

根据上述实验现象,完成下列填空:

(1)写出下列物质的化学式或名称:

B       ,D        ,E        , F      

(2)写出A与 C反应的化学方程式                   

(3)当E滴入B中显红色后,再将A逐滴滴入混合液中,充分反应后的实验现象是

                      

(4)假设所取六种无色溶液相互反应后的所得溶液的pH<7,则溶液中的溶质可能是

                        

试题详情

32.(7分)某校化学兴趣小组的同学对敞口放置的固体烧碱的变质程度开展了探究。

写出烧碱发生变质反应的化学方程式______________________________________。

为确定固体混合物中碳酸钠的质量分数,他们设计了如下几种不同的实验方案:

[方案一] 气体分析法。

 

(1)若用图甲中的收集装置,则所测CO2气体的体积________(填“偏大”、“偏小”、“不变”),理由是           ,你的改进措施是                  

(2)若用乙装置测定CO2的质量(碱石灰是CaO和NaOH的混合物)。该实验设计中的缺陷是                         (答一点即可)。

[方案二]沉淀分析法。

资料:部分碱和盐的溶解性表(20℃)

 
OH
Cl-
CO32-
SO42-
Ca2+




Mg2+




Fe3+


-

Cu2+




 

发生反应的化学方程式是              ,溶液M中的溶质是       

试题详情

31、(5分)请根据有关实验基本操作,回答下列问题:

(1)下列各项化学实验的操作中,正确的是         (填序号)。

①给固体物质加热时试管口应略向下倾斜

②被加热的玻璃容器外壁如有水,加热前应擦干

③熄灭酒精灯只能用灯帽盖灭,不能用嘴吹灭

④实验室用高锰酸钾制氧气并用排水法收集完毕后,先熄灭酒精灯,再将导管移出水面

(2)下列是小明同学完成“二氧化碳的制取、收集和验满”实验时的主要步骤,请用字母表示出正确的实验顺序           ,其中操作有误的是       (填字母)。

 

A.加入药品   B.收集气体  C.检查装置气密性   D.验满   E.清洗仪器

(3)从以下仪器中,选择过滤操作需要用到的仪器(填序号)          若要从食盐水中提取食盐,除下列仪器外,还需要的仪器是        

 

试题详情

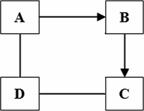
30.(6分)A、B、C、D为初中化学常见的物质,它们之间存在一定的关系,请根据下列叙述回答问题。

(1)若A为红色固体,C为难溶于水的白色固体,且D能转化为B,

则A与D反应的化学方程式为               

A→B的方程式为                    

(2)若A 为难溶于水的白色固体,且D能转化为B ,C与

D反应有气体产生,则C的化学式为       ,D→B

反应的化学方程式为                

(3)若A在空气中易形成致密的氧化膜,且A能转化为C,B与D可相互反应,所有的反应均为置换反应,则B的化学式为     ,C与D反应的化学方程式为        

试题详情

29.(7分)) 金属材料在生产、生活中有着广泛的应用。

(1)下列应用中使用金属材料的有       (填字母)。

 

(2) 化学小组为了验证铁、铜、镁、汞的金属活动性顺序,设计了如下实验方案:

 

根据实验①判断出镁的金属活动性比铁强,依据的现象是             

根据实验②的现象得出的结论是                     

(3)化学小组收集到洗照片用过的硝酸银废液,利用废铁、废锌回收金属银。他们将金属混合物加入到硝酸银废液中,充分反应后过滤,得到固体和浅绿色溶液(忽略其他杂质),为了探究滤液中溶质的可能组成,他们做出以下猜想:

①溶质为硝酸锌        ②溶质为硝酸亚铁和硝酸银

③溶质为硝酸锌、硝酸亚铁   ④溶质为硝酸锌、硝酸亚铁、硝酸银

上述猜想中正确的是          

(4)小组同学继续实验验证所得银粉固体中是否含有铁粉:

甲同学用简单的物理方法证明了固体中含有铁粉。他的方法是            

乙同学设计了如下测定固体中含银的质量分数的实验步骤:

A.取两药匙样品,加入过量稀硫酸;

B.待充分反应后,取出不溶物;

C.不溶物经洗涤、干燥后称量,记录其质量。

请回答:①步骤B中判断已充分反应的依据是                  

②乙同学设计的实验方案能否达到实验目的,请说明理由        

试题详情

28.(6分)右图是常见固体物质的溶解度曲线,根据图示回答:

(1)曲线上M点表示            ,t3℃时,

A、B、C三种物质的溶解度由大到小的顺序为    

(2)t1℃时,将10g A物质放入100g水中,充分溶解后

所得的溶液是       (填“饱和”或“不饱和”)溶液。

欲使t2℃时C物质的饱和溶液变为不饱和溶液,可采取的

方法是          (任填一种方法)。

(3)现有30℃的不饱和KNO3溶液,与该溶液有关的量有:

①水的质量   ②溶液中KNO3的质量   ③KNO3的质量分数

④30℃时KNO3的溶解度   ⑤溶液的质量

Ⅰ.在该不饱和溶液中加硝酸钾至饱和,不变的量有       (填序号,下同)。

Ⅱ.将该不饱和溶液恒温蒸发至饱和,不变的量有       

试题详情

27.(6分)空气、水、燃料是人类赖以生存的自然资源。

(1)人类时刻都离不开空气,是因为空气中的氧气能            

空气属于        (填物质类别)。

(2)为了保护环境,用煤作燃料的煤炉要适当增加进风口,将煤粉吹起使之剧烈燃烧,请解释这种做法有利于节能的原因是            ,若要达到低碳减排的目的,下列措施可行的是           

A、改变燃料结构       B、开发新能源

C、减少化石燃料使用     D、将排出的二氧化碳压缩液化埋入深海中

(3)自来水消毒过程中常会发生如下化学反应,其反应的微观过程可用下图表示:

 

图乙所示反应的基本类型为         

写出图甲所示反应的化学方程式                   

试题详情

26.(5分)日常生活与化学有着密切的联系。

(1)用化学式填写:食盐、熟石灰、干冰、生石灰四种物质,可改良酸性土壤的是       ,可用作调味品的是      

(2)某品牌奶粉包装袋上标出的配料如右图所示:

该产品配料中能提供能量的是         , 人体缺铁

会引起贫血,该奶粉中        物质可以补充铁元素。

(3)旅游时若不小心被蚊虫叮咬(蚊虫能分泌出蚁酸),

下列物质可用于涂抹以减轻疼痛的是       

 A.食醋(pH<7)     B.食盐水 (pH=7)

C.肥皂水(pH>7)    D.烧碱溶液(pH>7)

试题详情

25.锌粉、铝粉、镁粉的混合物3.8g与一定质量的稀硫酸恰好完全反应,将反应后的混合物蒸发水份得固体硫酸锌、硫酸铝、硫酸镁混合物11g,则反应中生成氢气的质量为

A.0.15g     B.0.20g     C.0.30g     D.0.45g

第Ⅱ卷(非选择题   共55分)

试题详情

24.下列物质的鉴别方法中正确的是

A.MnO2和木炭--观察颜色

B.CO2和N2--燃着的木条分别伸入瓶中

C.Ca(OH)2溶液和稀盐酸--取样,滴加碳酸钠溶液

D.NaOH溶液和Na2CO3溶液--取样,滴加酚酞试液

试题详情


同步练习册答案