0  266933  266941  266947  266951  266957  266959  266963  266969  266971  266977  266983  266987  266989  266993  266999  267001  267007  267011  267013  267017  267019  267023  267025  267027  267028  267029  267031  267032  267033  267035  267037  267041  267043  267047  267049  267053  267059  267061  267067  267071  267073  267077  267083  267089  267091  267097  267101  267103  267109  267113  267119  267127  447090 

4.下列各句中,标点符号使用正确的一项是 

A.英国女作家罗琳写的长篇系列小说--《哈利•波特与密室》和《哈利•波特与魔法石》,在世界上引起了轰动,创造了出版史上的神话。

B.美国航天局13日宣布:该局科学家对月球坑观测和传感卫星获得的撞月数据进行初步分析后确认,月球存在水,而此前科学家们对月球是否有水存在很大争议。

C.“逃离北上广”的网络调查中有82%的受访者赞成“逃离”,他们关心的是在什么地方能买得起房?那里的教育环境又是怎样的?

D.日前“中国2010年上海世博会图片展”在上海启动,内容涉及新能源、新材料的开发与利用、发展绿色经济、环境保护和生态治理新技术等诸多方面。

试题详情

3.下列加点的成语使用正确的一项是    (   )

A.“北京当代十大建筑”评选结果揭晓,“鸟巢”、“水立方”、国家体育馆、首都博物馆、北京电视中心等新式建筑脱颖而出

B.饮水机行业在过快的发展中因监管乏力造成了饮水机市场鱼目混珠的局面,一些伪劣产品严重危害着人们的身体健康。

C.在中华人民共和国成立六十年的国庆阅兵式上,中国军方多款新型武器装备的展示,引发西方军事专家捕风捉影的各式猜测。

D.王家岭煤矿透水事故,再次暴露了安全生产责任落实不到位、安全管理不严格等问题,人们对这场本不该发生的事件痛不欲生

试题详情

2、下列各组词语中,没有错别字的一组是( )

A. 绸缪  凋谢  朦胧  怄心沥血  常使英雄泪满襟

B. 飘缈  跌宕  隐逸  面面相觑  早岁哪知世事艰

C. 留滞  溽热  阴霾  真率稚气  天生我材必有用

D. 剽窃  言迄  凌厉  切中肯綮  但愿常醉不用醒

试题详情

1、下列加点字的注音没有错误的一组是( ) A. 修(qì)     芳(xīn)     奇(bā)     喷出之(bó) B. 踯(zhú)   摇(yì)      国(shāng)   鼎玉石(chēng) C. 诡(jué)     然(chuàng)   视(kuī)    旅情怀(jī) D. 雪(xiàn)    噪(guō)     戏(nuè)    名钓誉(gū)

试题详情

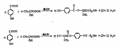
5.(16分)有机物F、G是常见的塑料,可通过下图所示路线合成:

两种官能团
 

(1)有机物B中的含氧官能团是____________________。

(2)高分子化合物G的结构简式是____________________。

(3)反应①的化学方程式是__________________________________________________。

(4)反应②的化学方程式是__________________________________________________。

H
 
HO
 
(5)PBT()是一种重要的工程塑料。

已知:①

请设计方案以CH2=CHCH=CH2为原料合成PBT(请用反应流程图表示,并注明反应条件)。

示例:由乙醇合成聚乙烯的反应流程图可表示为

CH3CH2OHCH2=CH2CH2-CH2

合成PBT的反应流程图为:

___________________________________________________________________________

ⅱ.

试题详情

4.(1)羟基  ①   (2)C8H8O3

    ③

  (3)乙醚  萃取、过滤、蒸馏、结晶  (4)

 

  (5)

  或

试题详情

3.(每空2分,共16分)

  (1)羟基:HOCH2-CH2OH+O2OHC-CHO+2H2O

          (2)CH2=CHCH2COOH;CH3CH=CHCOOH

  (3)①

   ②

   

   ③

   (4)

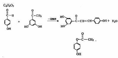
  4.(16分)近期研究证实,中药甘草中的异甘草素在药理实验中显示明显的促进癌细胞凋亡和抑制肿瘤细胞增殖的活性,且对正常细胞的毒性低于癌细胞。异甘草素可以由有机物A和有机物B合成(A、B均为芳香族含氧衍生物),且由A和B合成异甘草素要用到以下反应:

    请回答下列问题:

  (1)有机物B分子式为C7H6O2,A和B均能与浓溴水反应生成沉淀。A和B具有一种相同的含氧官能团,其名称为      ;B的核磁共振氢谱有四个峰,峰面积之比是2:2:1:1。以下说法正确的是     (填序号)。

       ①有机物B能发生很多类型的反应,例如:中和、取代、氧化、还原、加成反应

        ②与B互为同分异构体的芳香族含氧衍生物共有两种(不含B)

        ③B能与碳酸氢钠溶液反应放出二氧化碳气体

  (2)质谱表明有机物A相对分子质量为152,其碳、氢、氧元素的质量分数比为12:1:6。有机物A的分子式为       ;已知A发子中的官能团均处于间位,写出A、合成异甘草素的化学方程式     

  (3)初步合成的异甘草素需要经过以下处理工艺;

        I加入一定量的水,再加入一定量的乙醚提取2次

        II用无水MgSO4干燥、过滤减压蒸出。

        III洗涤、浓缩得黄色粉末,再用含水乙醇处理得黄色针状晶体。

        步骤II蒸出的物质可能是      。以上处理工艺中涉及的分离提纯操作依次有     

  (4)有机物D符合下列条件,写出D的结构简式     

        ①与A互为同分异构体,且能发生水解反应

        ②1molD能与3moNaOH反应

        ③苯环上的氢被氯取代的一氯代物有两种

    (5)有机物B还可以发生以下变化:

        已知:F的单体是由E和CH3CHCOOH按1:1生成,请写出E→高分子化合物F的化学方程式      。   OH

试题详情

2.(16分)

经质潜法分析得知,某单烯烃Q的相对分子质量为56;其核磁共振氢谱与红外光谱表明,Q分子中有两种化学环境不同的氢原子,氢蘑峰面积显示两种氢的原子个数比为1:3(Q分子中含有支链)。

  (1)O的结构简式为       

  (2)在锂离子电池中,需要一种有机聚合物作为正负极之问锂离子迁移的介质,该有机聚合物的单体之一(用M表示)的结构简式如右:

 

M的合成方法之一如下:

请回答下列问题:

①合成M的反应中,反应I和反应III的反应类型分别是          

试剂Ⅱ是      ,C中含有官能团的名称是       

②E的结构简式是        

        ③M与足量氯氧化钠溶液反应的化学方程式是      

  (3)D在一定条件下?能发生缩聚反应生成高聚物,请写出D发生缩聚反应的化学方程式        

  (4)已知:I.(其中R为烃基)

     II.

     若,请写出符合下列条件的物质的一种结构简式     

a.碳骨架与w相同;

b.能发生银镜反应;

c.1mol该物质与足量金属钠作用生成1.5molH2

d.分子中每个碳原子上不同时连有两个官能团。

  2.(16分)

  3.(16分)

   已知:

     有机物A是一种医药中间体,质谱图显示其相对分子质量为130。已知0.5molA完全燃烧只生成3mol CO2和2.5molH2O。A可发生如下图所示的转化,其中D的分子式为C4H6O2,两分子F反应可生成六元环状酯类化合物。

   

   请回答:

  (1)1mol B与足量的金属钠反应产生22.4L(标准状况)H2。B中所含官能团的名称是

         。B与C的相对分子质量之差为4,B→C的化学方程式是    

  (2)D的同分异构体G所含官能团与D相同,则G的结构简式可能是       

  (3)F可发生多种类型的反应。

     ①两分子F反应生成的六元环状酯类化合物的结构简式是     

②由F可生成使Br的CCl4溶液褪色的有机物H。F→H的化学方程式是   

③F在一定条件下发生缩聚反应的化学方程式是     

  (4)A的结构简式是      

试题详情

1.(16分,每空2分)

        (1)C9H8O

  (2)①

② D (1分)

  ④ 4(1分)

    (3)①CH2=CH2或CH=CH

③乙酸乙酯

试题详情

1.(16分)肉桂醛在食品、医药化工等方面都有应用。

  (1)质谱分析肉桂醛分子的相对分子质量为132。其分子中碳元素的质量分数为81.8%,其余为氢和氧。分子中的碳原子数等于氢、氧原子数之和。肉桂醛的分子式是

            

    (2)肉桂醛具有下列性质:

   请回答:

   ①肉桂醛是苯的一取代物,核磁共振氢谱显示,苯环侧链上有三种不同化学环境的氢原

子,其结构简式是      。(本题均不考虑顺反异构与手性异构)

②Z不能发生的反应类型是      

A.取代反应     B.消去反应     C.加成反应     D.加聚反应

③Y与乙醇在一定条件下作用得到肉桂酸乙酯,该反应的化学方程式是      

④Y的同分异构体中,属于酯类目苯环上只有一个取代基的同分异构体有     种。

其中任意一种的结构简式是      

  (3)已知

I.醛与醛能发生反应,原理如下:

   

II.合成肉桂酸醛的工业流程如下图所示,其中甲烷。

   

请回答:

①甲的结构简式是      

②丙和丁生成肉桂的化学方程式是       

③醛和酯也可以发生如“I”的反应。食用香料肉桂酸乙酯通过如下反应合成:

   

戊的名称是      

试题详情


同步练习册答案