0  267317  267325  267331  267335  267341  267343  267347  267353  267355  267361  267367  267371  267373  267377  267383  267385  267391  267395  267397  267401  267403  267407  267409  267411  267412  267413  267415  267416  267417  267419  267421  267425  267427  267431  267433  267437  267443  267445  267451  267455  267457  267461  267467  267473  267475  267481  267485  267487  267493  267497  267503  267511  447090 

26.(15分)下图是由Emil Zmaczynski设计的金字塔式元素周期表的一部分,图上标有第ⅥA族和几种元素的位置。请回答下列问题:

 

(1)请在上图中将铁元素所在族的位置全部涂黑。

(2)自从周期表诞生以来,关于氢元素在周期表中的位置,一直存在纷争,有人主张把它放在第ⅦA族,理由是:氢的最外层电子“饱和缺一”。请写出NaH的电子式      

(3)b元素的氢化物与其最高价氧化物的水化物可生成一种盐,该盐溶于水时   

(“抑制”、“促进” 或“不影响”)水电离,其反应的离子方程式为

                             ;土壤中施用该盐做化肥时,其阴离子在水田中的利用率低,说明土壤胶体粒子带    (“正”或“负”)电荷。

(4)下列叙述正确的是        

A.h的最高价氧化物对应的水化物是一种强碱

B.硒化氢的稳定性强于f的氢化物的稳定性

C.c的氢化物的水溶液是强酸

D.原子半径:h>e>a

E.相同条件下,d与f形成的化合物水溶液的pH大于d与g形成的化合物水溶液的pH,说明相同浓度氢化物水溶液的酸性f弱于g

(5)d的某化合物呈淡黄色,可与氯化亚铁溶液反应生成红褐色沉淀和能使带火星的木条复燃的气体,若沉淀和气体的物质的量之比为2:1,反应的离子方程式为

                                      

试题详情

25.(16分)A、B、C、D四种芳香族化合物都是某些植物挥发油中的主要成分,有的是药物,有的是香料。它们的结构简式如下所示:

A        B         C            D

请回答下列问题:

(1)写出B中无氧官能团的名称        ,C中含氧官能团的符号      

(2)用A、B、C、D填空:

①能发生银镜反应的有        

②既能使FeCl3溶液显紫色又能和NaHCO3反应放出气体的有         

(3)按下图C经一步反应可生成E,E是B的同分异构体,则反应①属于     反应

(填反应类型名称),写出反应②的化学方程式:

                                    

 

(4)同时符合下列两项要求的D的同分异构体有4种:

① 化合物是1,2-二取代苯;

② 苯环上的两个取代基分别为羟基和含有-COO-结构的基团。

其中两种(G和H)结构简式如下图所示,请补充另外两种。

   

                 

                  

写出H与足量NaOH溶液反应的化学方程式:

 

 

                                   

试题详情

24.(20分)有一个演示实验,在上下面都是金属板的玻璃盒内,放了许多锡箔纸揉成的小球,当上下板间加上电压后,小球就上下不停地跳动。

现取以下简化模型进行定量研究。如图所示,电容量为C的平行板电容器的极板A和B水平放置,相距为d,与电动势为E、内阻可不计的电源相连。设两板之间只有一个质量为m的导电小球,小球可视为质点,小球与极板每次发生碰撞后,速度都立即变为零,带电状态也立即改变,改变后,小球所带电荷性质与该极板电荷性质相同,电量为极板电量的n倍(n<<1),不计带电小球带电对极板间匀强电场的影响。重力加速度为g

(1)当电键S闭合后,电容器所带的电量Q=?

(2)欲使小球能够不断地在两板间上下往返运动,电动势E至少应大于多少?

(3)设上述条件已满足,在较长的时间间隔t内,小球做了很多次往返运动。求在t时间内小球往返运动的次数以及通过电源的总电量。

 

试题详情

23.(18分)如图所示,一质子由静止经电场加速后,垂直磁场方向射入感应强度B=10-2T的匀强磁场。在磁场中的a点与一静止的中子正碰后一起做匀速圆周运动,测得从a点运动到b点的最短时间t1=2.0×10-4s,再从b点继续运动到a点的最短时间t2=10-3s。已知ab两点的距离x=0.1m,质子的电量e =1.6×10-19C,质子的质量和中子的质量均为m=1.67×10-27kg。

求:(1)质子和中子碰撞到一起后,做圆周运动的周期T=?

(2)质子和中子碰撞到一起后,做圆周运动的轨道半径r=?

(3)电场的加速电压U=?

试题详情

22.(16分)据2008年2月18日北京新闻报导:北京地铁10号线进行运行试验。为节约能源,一车站站台建得高些,车辆进站时要上坡将动能转换为重力势能,出站时要下坡将重力势能换为动能,如图所示。已知坡长为x,坡高为h,重力加速度为g,车辆的质量为m,进站车辆到达坡下A处时的速度为v0,此时切断电动机的电源。

(1)车辆在上坡过程中,若只受重力和轨道的支持力,求车辆“冲”到站台上的速度多大?

(2)实际上车辆上坡时,还受到其它阻力作用,要使车辆能“冲”上站台,车辆克服其它阻力做的功最大为多少?

 

试题详情

21.(共3小题,共18分)

(1)(每空2分,共4分)验证机械能守恒定律可以研究自由落体运动,也可以研究物体从光滑斜面上自由下滑运动,但后者误差较大,其原因是           。为了减小误差,提出如下措施:

A.减小物体的质量    B.增大物体的质量    C.减小斜面的倾角

D.增大斜面的倾角    E.用小车代替滑块    F.给小车一定的初速度

其合理的措施是:       (本空只填写序号,全填写正确得2分,少填一项扣1分,有错填项不得分)

(2)(每空2分,共6分)某实验小组的同学,在探究一斜面的滑动摩擦因数μ的实验时,让一滑块(可视为质点)沿倾角为370的斜面滑下,用每隔0.1s曝光一次的频闪照相机拍摄下不同时刻滑块的位置照片,如图甲所示。拍得滑块经过的五个连续位置A、B、C、D、E,再经过测量、计算得到滑块通过B、C、D、E各点的速度,取滑块经过A点时t0=0,在v-t图中描出了相对应的坐标点,如图乙所示,请完成下列问题。(取g=10m/s2,sin370=0.6,cos370=0.8)(计算结果保留一位有效数字)

 

① 在坐标(图乙)中画出小球向下运动的v-t图象

② 根据①的图象,得出小球在位置A的速度大小vA=       m/s

③ 根据①的图象,计算出斜面的滑动摩擦因数μ=     

(3)(共8分)如图甲所示为测量电阻Rx的电路,R为电阻可读可调的电阻箱,R′为阻值适当的保护电阻,电源E的电动势未知,S为单刀双掷开关,电流表为毫安表,请完成以下填空:

 

① 测量Rx的步骤为:(每空1分,共4分)

A.将图甲中S向a端闭合,毫安表(接0~0.6mA档)的读数图乙I =      mA

B.将图甲中S向b端闭合,适当调节电阻箱R使得毫安表的读数I=     mA,记下此时电阻箱图丙的读数R=     Ω,那么,在本实验中所测电阻Rx=     Ω。

② 按图甲所示的电路,在实物图丁上用实线连好电路。(连线完全正确给4分,有一处连接错误不得分)

试题详情

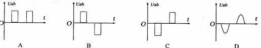
20.铁路上使用-种电磁装置向控制中心传输信号以确定火车的位置和速度,被安放在火车首节车厢下面的磁铁能产生匀强磁场,如图所示(俯视图)。当它经过安放在两铁轨间的线圈时,便会产生一电信号,被控制中心接收。当火车以恒定速度通过线圈时,表示线圈两端的电压Uab随时间变化关系的图像是

 

[草稿纸]

[草稿纸]

[草稿纸]

第Ⅱ卷(非选择题 共11小题 共180分)

试题详情

19.2007年10月24日,中国第一颗人造月球卫星--“嫦娥一号”成功发射,11月5日进入38万公里以外的月球轨道,11月24日传回首张图片,这是我国航天事业的又一成功。如果在这次探测工程中要测量月球的质量,则需要知道的物理量有(卫星围绕月球的运动可以看作匀速圆周运动,已知万有引力常量)

A.卫星的质量和月球的半径

B.卫星绕月球运动的周期和卫星绕月球运动的半径

C.月球的半径和卫星绕月球运动的周期

D.卫星的质量、月球的半径和卫星绕月球运动的周期

试题详情

18.苹果园中学某实验小组的同学在电梯的天花板上固定一根弹簧秤,使其测量挂钩(跟弹簧相连的挂钩)向下,并在钩上悬挂一个重为10N的钩码。弹簧秤弹力随时间变化的规律可通过一传感器直接得出,如图所示的F-t图象。根据F-t图象,下列分析正确的是

A.从时刻t1t2,钩码处于超重状态

B.从时刻t3t4,钩码处于失重状态

C.电梯可能开始停在15楼,先加速向下,接着匀速向下,再减速向下,最后停在1楼

D.电梯可能开始停在1楼,先加速向上,接着匀速向上,再减速向上,最后停在15楼

试题详情

17.已知心电图记录仪的出纸速度(纸带移动的速度)是2.5cm/s,如图所示是仪器记录下的某人的心电图,图中每个小格的边长为0.5cm,由此可知

  A.此人的心率约为75次/分钟

B.此人的心率约为125次/分钟

C.此人心脏每跳动一次所需时间约为0.70秒

D.此人心脏每跳动一次所需时间约为0.60秒

试题详情


同步练习册答案