0  267298  267306  267312  267316  267322  267324  267328  267334  267336  267342  267348  267352  267354  267358  267364  267366  267372  267376  267378  267382  267384  267388  267390  267392  267393  267394  267396  267397  267398  267400  267402  267406  267408  267412  267414  267418  267424  267426  267432  267436  267438  267442  267448  267454  267456  267462  267466  267468  267474  267478  267484  267492  447090 

30.(每空2分,共18分)近年来,家禽生态养殖在我国发展很快。某地区建立了“稻-鸭”

  共作的生态型农业生产体系(如下图所示),实现了稻、鸭的双丰收。请回答下列问题。

  (1)从生态系统的组成成分上分析,该生态系统的生产者是    ,沼气池中的生物属于      。此生态系统的建立实现了物质的     

  (2)过去,羽毛加工厂通常将废弃的羽毛填埋于土壤中,利用土壤中的微生物将其分解。为了充分利用废弃的羽毛中的蛋白质资源,某研究小组欲从土壤中分离出能够水解羽毛角蛋白的细菌,他们应从      处取土壤,并制成土壤稀释液。以羽毛粉为唯一的氮源配制的培养基在功能上属于     培养基。

  (3)研究人员尝试利用羽毛粉制成饲料添加剂,以替代鱼粉添加剂来饲养产蛋鸡。请设计实验探究羽毛粉能否替代鱼粉作为饲料添加剂饲养产蛋鸡。

     实验材料:养殖的蛋鸡若干只,含羽毛粉的饲料,含鱼粉的饲料。

     实验步骤:

     ①将实验用鸡随机均分为甲、乙两组;

          ,其他饲养条件相同;

③观察记录,统计各组鸡的        

预期结果及分析:

如果         ,说明羽毛粉能替代鱼粉;

如果         ,说明羽毛粉不能替代鱼粉。

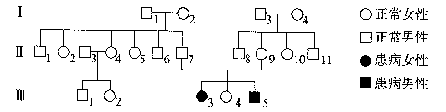
  31.(每空2分,20分)人的生长激素(hGH)缺乏的原因之一是患者缺失hGH基因片段,简称hGH基因缺失,患者表现为身材较正常人矮小。为进一步研究该病的遗传方式,指导优生,科研人员对首次发现的两列患者家系做了调查,调查的部分结果见下图。请回答下列问题:

  (1)hGH基因位于      染色体上,III-4杂合子的概率是      

  (2)右对此家族中某一未出生的孩子进行产前诊断,快速检测其是否患有该遗传病,应以      基因为标准(作为分子探针),通过      方法进行检测。

  (3)生长激素是由垂体分泌的。下图是人体内某些生命活动调节过程示意图。

     垂体除分泌生长激素外,还通过分泌[b]    来调节甲状腺的活动,由其释放的[d]    ,作用于肾脏,使尿量减少来调节人体内的       

  (4)由图可知,内分泌调节的枢纽是       ,④、⑤过程表示激素分泌的   调节。

  (5)如果用含有激素c的饲料饲喂小白鼠,再将其放到密闭的容器中饲养,此小鼠对缺氧的耐受力将    

试题详情

29.(12分,每空2分)葡萄生长需要强光照、适宜温度,春季大棚中的弱光、低温条件影响其生长。科研人员在不同低温条件下研究葡萄幼苗相关生理指标的变化,为葡萄的大棚栽培提供理论依据。实验的基因步骤如下:

   ①挑选长势相同、具有5~6片真叶的某种葡萄功苗如下,平均分成三组,分别在常温25°C、低温15°C及5°C的环境中培养8天,然后恢复常温培养4天。

②在培养的0、2、4、6、8天和恢复常温培养的第2(R2)天、第4(R4)天,进行各项生理指标测定。

③记录实验结果(如下图所示),并对实验结果进行统计分析。

请回答下列问题。

  (1)本实验中的对照组是      ;研究中测定的内容是       

  (2)在低温条件下,植物体内可产生大量的活性氧,活性氧的累积可引发膜脂过氧化,造成细胞膜系统的损伤,膜脂过氧化的产物之一是丙二醛(MDA)。超氧化物歧化酶(SOD)是存在于植物细胞中的最重要的清除活性氧的酶之一,对保护膜系统具有重要作用。膜脂的主要万分是     ,膜脂过氧化会影响系统的      

  (3)综合图1、图2所示结果:15°C的低温处理,对葡萄幼苗造成的伤害是   (可逆、不可逆)的,判断的依据是       .

试题详情

28.(14分)硝酸是一种重要的化工原料,工业上生产硝酸的主要过程如下:

  (1)以N2和H2为原料合成氨气。反应N2(g)+3H2(g)    2NH3(g)  △H<0

     ①下列措施可以提高H2的转化率是(填选项序号)     

     a.选择适当的催化剂            b.增大压强

        c.及时分离生成的NH3           d.升高温度  

②一定温度下,在密闭容器中充入1molN2和3molH2发生反应。若容器容积恒定,达到平衡状态时,气体的总物质的理是原来的,则N2的转化率a1=    

若容器压强恒定,达到平衡状态时,N2的转化率为a2,则a2   a1(填“>”、“<”或“=”)。

  (2)以氨气、空气为主要原料制硝酸。

     ①NH3被氧气催化氧化生成NO的反应的化学方程式是    

②在容积恒定的密闭容器中进行反应2NO(g)+O2(g)    2NO2(g)△H>0

该反应的反应速率(v)随时间(t)变化的关系如右图所示。若t2、t4时刻只改变一个条件,下列说法正确的是(填选项序号)         

   

a.在t1~t­2时,可依据容器内气体的压强保持不变判断反应已达到平衡状态

b.在t2时,采取的措施可以是升高温度

c.在t3~                      t4时,可依据容器内气体的密度保持不变判断反应已达到平衡状态

d.在t5时,容器内NO2的体积分数是整个过程中的最大值

  (3)硝酸厂常用如下2种方法处理尾气。

     ①催化还原法:催化剂存在时用H2将NO2还原为N2

     已知:2H2(g)+O2(g)=2H2O(g)  △H=-483.6kJ/mol

     N­2(g)+2O2(g)=2NO2(g)   △H=+67.7kJ/mol

     则H2还原NO2生成水蒸气反应的热化学方程式是       

②碱液吸收法:用Na2CO3溶液吸收NO2生成CO2

若每9.2gNO2和Na2FCO3溶液反应时转移电子数为0.1mol,则反应的离子方程式是

      

试题详情

27.(16分)硫代硫酸钠(Na2S2O3)可由亚硫酸钠和硫粉通过化合反应制得。

已知:Na2S2O3在酸性溶液中不能稳定存在。

  (1)某研究小组设计了制备Na2S2O3·5H2O装置和部分操作步骤如下。

  I.打开K1,关闭K2,向圆底烧瓶中加入足量浓硫酸,加热。

  II.C中混合液被气流搅动,反应一段时间后,硫粉的量逐渐减少。

当C中溶液的pH接近7时即停止C中的反应,停止加热。

  III.过滤C中的混合液。

  IV.将滤液加热浓缩、冷却结晶、过滤、洗涤、烘干,得到产品。

①I中,圆底烧瓶中发生反应的化学方程式是     

②II中,“当C中溶液的pH接近7时即停止C中的反应”的原因是     

“停止C中的反应”的操作是      

③III中,“过滤”用到的玻璃仪器是(填仪器名称)      

④装置B中盛放的试剂是(填化学式)     溶液,其作用是     

  (2)依据反应2S2O32-+I2=S4O2-6+2I-,可用I2的标准溶液测定产品的纯度。取5.5g产品,配制成100mL溶液。取10mL溶液,以淀粉溶液为指示剂,用浓度为0.050mol/LI2的标准溶液进行滴定,相关数据记录如下表所示。

编号
1
2
3
4
溶液的体积/mL
10.00
10.00
10.00
10.00
消耗I2标准溶液的体积/mL
19.99
19.98
17.13
20.03

     ①判断达到滴定终点的现象是       

②Na2S2O3·5H2O在产品中的质量分数是(计算结果保留1位小数)     

(Na2S2O3·5H2O的式量为248)

试题详情

26.(12分)化合物A是制玻璃的主要原料之一。常温下,化合物B、H、I为气体,B不溶于水,H、I易溶于水,H的水溶液呈碱性,I的水溶液呈酸性。D元素是地壳中含量仅次于氧的非金属元素。化合物J是一种可用于制造发动机的新型无机非金属材料,其相对分子质量为140,其中D元素的质量分数为60%。上述物质间的转化关系如下图所示。

  (1)除A外,制玻璃的主要原料还有物质(填化学式)         

     盛放NaOH溶液的试剂瓶不能用玻璃塞,原因是(用化学方程式表示)    

  (2)D元素在元素周期表中的位置是      

  (3)H的电子式是     

  (4)F和H反应生成J和I反应的化学方程式是      

  (5)下列说法正确的是(填选项序号)   

     a. 上述由A生成D的单质的反应属于置换反应

b. D元素在自然界中主要以单质形式存在

c. G是含有极性共价键的离子化合物

d. I是强电解质,G是弱电解质,二者的水溶液都显酸性

试题详情

25.(16分)香兰素存在于香草豆等植物中,是有机合成的重要原料。

  (1)香兰素有C、H、O3种元素,相对分子质量为152,氧元素的质量分数为31.6%,碳、氢元素质量比为12:1。香兰素易溶于乙醇,熔点为81℃~83℃,沸点为284℃。

       ①从香草豆等植物中可以提取香兰素,部分流程如下图所示。

   操作1的名称是     

   ②香兰素的分子式是      

     (2)以香兰素为原料,经过一系列转化,可以得到药物利喘贝

①写出实现下列转化的化学方程式:

G→利喘贝     

E→F      

②D分子内含有碳碳双键,C→D的反应类型为    

③B的结构简式是     

④下列说法正确的是(填选项序号)     

a. A分子中含有羟基和醛基

b. 有机物C存在顺式和反式结构

c. 有机物F生成G时,可以用KMnO4酸性溶液代替新制Cu(OH)2悬浊液

d. 既能与盐酸又能与NaOH溶液反应

⑤香兰素能发生银镜反应,其分子中苯环上取代基的数目和位置均与A相同。1mo香兰素与饱和溴水发生取代反应生成1molHBr,且最多能与1molNa反应。则香兰素的结构简式是       

试题详情

23.(18分)利用水流和太阳能发电,可以为人类提供清洁能源。水的密度,太阳光垂直照射到地面上时的辐射功率,地球表面的重力加速度取g=10m/s2

  (1)三峡水电站发电机输出的电压为18kV。若采用500kV直流电向某地区输电5.0×106kW,要求输电线上损耗的功率不高于输送功率的5%,求输电线总电阻的最大值;

  (2)发射一颗卫星到地球同步轨道上(轨道半径约为地球半径的6.6)利用太阳能发电,然后通过微波持续不断地将电力输送到地面,这样就建成了宇宙太阳能发电站。求卫星在地球同步轨道上向心加速度的大小;

  (3)三峡水电站水库面积约1.0×109m2,平均流量Q=1.5×l04m3/s,水库水面与发电   机所在位置的平均高度差h=l00m,发电站将水的势能转化为电能的总效率。在地球同步轨道上,太阳光垂直照射时的辐射功率为10P0。太阳能电   池板将太阳能转化为电能的效率=20%,将电能输送到地面的过程要损失50%。若要使(2)中的宇宙太阳能发电站的发电能力与三峡电站相当,卫星上太阳能电池板的面积至少为影大?

  24.(20分)如图所示,A、B两个小物体(可看成质点)的质量分别为2m、m,它们栓接在跨过定滑轮的细绳两端,细绳不可伸长,且能承受足够大的拉力。B物体悬吊着静止时,A也静止在地面上,A、B与定滑轮轮轴之间的竖直距离分别为2ll。现将B物体竖直向上提高距离l,再将其从静止释放。每次细绳被拉直时A、B速度的大小立即变成相等,且速度方向相反,由于细绳被拉直的时间极短,此过程中重力的作用可以忽略不计。物体与地面接触时,速度立即变为0,直到再次被细绳拉起。细绳始终在滑轮上,且不计一切摩擦。重力加速度为g。求

  (1)细绳第一次被拉直瞬间绳对A冲量的大小;

  (2)A第一次上升过程距离地面的最大高度;

  (3)A运动的总路程。

试题详情

21.(18分)

  (1)图1是演示简谐运动图象的装置,它由一根较长的细线和一个较小的沙漏组成。当沙漏摆动时,若将沙漏下方的木板匀速拉出,漏出的沙在板上会形成一条曲线。通过对曲线的分析,可以确定沙漏的位移随时间变化的规律。图2是同一个沙漏分别在两块木板上形成的曲线。

①沙漏在木板1上形成曲线OA段经历的时间      (填“大于”、“等于”或“小于”)沙漏在木板2上形成曲线O′A′段经历的时间。

②经测量发现OB=O′B′。若木板1运动的速度大小为v1,木板2运动的速度大小为v2,则

  A.   B.        C.      D.

  (2)某同学做“测量金属丝电阻率”的实验。

①首先,他用螺旋测微器在被测金属丝上的三个

不同位置各测一次直径,并求出其平均值作为金

属丝的直径d。其中某次测量如图3所示,这次

测量对应位置金属导线的直径为    mm;

②然后他测量了金属丝的电阻:,实验中使用的器材有:

     a.金属丝(接入电路的长度x0为1m,

        电阻约5Ω-6Ω)

b.直流电源(4.5 V,内阻不计)

c.电流表(200mA,内阻约1.0Ω

d.电压表(3V,内阻约3kΩ)

e.滑动变阻器(50Ω,1.5A)

f.定值电阻R1(5.0Ω,1.5A)

g.定值电阻R2(10.0Ω,1.0A)

h.定值电阻R3 (00.0Ω,1.0A)

i.开关,导线若干

该同学实验时的电路图如图4所示,且在实验中两块电表的读数都能接近满偏值,定值电阻应该选      (选填“R1”、“R2”或“R3”);

③该同学根据测量时电流表的读数I、电压表的读数U描绘的U-I图象如图5所示,根据图象可以求得金属丝的电阻Rx=     Ω。

④设法保持金属丝的温度不变,而逐渐减小上述金属丝(接入电路长度为x0)接入电路的长度x,当电压表的示数保持不变时,下列图象中正确反映了金属丝电阻消耗的功率P随x变化规律的是   (   )

  22.(16分)如图所示,两块相同的金属板正对着水平放置,电压U时,一个质量为m、电荷量为+q的带电粒子,以水平速度v0从A点射入电场,经过一段时间后从B点射出电场,A、B问的水平距离为L。不计重力影响。求

   (1)带电粒子从A点运动到B点经历的时间t;

   (2)A、B问竖直方向的距离y;

(3)带电粒子经过B点时速度的大小v。

试题详情

20.如图所示,质量为的小球B静止在光滑的水平面上,质量为的小球A以速度靠近B,并与B发生碰撞,碰撞前后两个小球的速度始终在同一条直线上。AB两球的半径相等,且碰撞过程没有机械能损失。当一定时,若越大,则     (   )

   A.碰撞后A的速度越小

    B.碰撞后A的速度越大

    C.碰撞过程中B受到的冲量越小

    D.碰撞过程中A受到的冲量越大

第Ⅱ卷(非选择题共11小题,共180分)

试题详情

16.如图1所示,一闭合金属圆环处在垂直圆环平面的匀

   强磁场中。若磁感应强度B随时间t按如图2所示的。

   规律变化,设图中磁感应强度垂直纸面向里的方向为。

   正方向,环中感应电流沿顺时针方向为正方向,则环

中电流随时间变化的图象是        (   )

 

  17.如图所示,空间中有一静电场,在轴上场强E随位置的变化规律为其中为大于0的常数,单位为的单位为。有一带正电的试探电荷在处由静止释放。若不考虑其它力的作用。则试探电荷                   (   )

    A.释放后将一直沿x轴正方向运动

    B.释放后将一直沿x轴负方向运动

    C.在x==0.4m处的电势能最大

    D.在x==0.4m处的加速度最小

  18.一简谐机械波沿轴正方向传播。在时刻该波的波形曲线分别如图中实线、虚线所示。、b为该机械波上的两个质点,它们平衡位置的坐标分别为。下列说法中正确的是     (   )

    A.该机械波的周期一定等于8s

    B.该机械波的波速一定等于1.0m/s

    C.的速度一定大小相等、方向相同

    D.的加速度一定大小相等、方向相同

  19.欧洲强子对撞机在2010年初重新启动,并取得了将质

    子加速到1.18万亿ev的阶段成果,为实现质子对撞打

    下了坚实的基础。质子经过直线加速器加速后进入半径

    一定的环形加速器,在环形加速器中,质子每次经过位

    置A时都会被加速(图1),当质子的速度达到要求后,

    再将它们分成两束引导到对撞轨道中,在对撞轨道中两

    束质子沿相反方向做匀速圆周运动,并最终实现对撞

    (图2)。质子是在磁场的作用下才得以做圆周运动的。

    下列说法中正确的是                 (   )

   A.质子在环形加速器中运动时,轨道所处位置的磁场会逐渐减小

   B.质子在环形加速器中运动时,轨道所处位置的磁场始终保持不变

   C.质子:在对撞轨道中运动时,轨道所处位置的磁场会逐渐减小

   D.质子在对撞轨道中运动时,轨道所处位置的磁场始终保持不变

试题详情


同步练习册答案