0  267448  267456  267462  267466  267472  267474  267478  267484  267486  267492  267498  267502  267504  267508  267514  267516  267522  267526  267528  267532  267534  267538  267540  267542  267543  267544  267546  267547  267548  267550  267552  267556  267558  267562  267564  267568  267574  267576  267582  267586  267588  267592  267598  267604  267606  267612  267616  267618  267624  267628  267634  267642  447090 

23.Both of the sofas they ordered online arrived, but     fit through the doorway.

    A.none          B.nor           C.neither         D.either

试题详情

22.Ballet is amazing;     you go ,you are likely to find yourself going again and again.

    A.as            B.once          C.unless         D.while

试题详情

第一节  单项填空(共15小题;每小题1分,共15分)

    从每题所给的A、B、C、D四个选项中,选出可以填入空白处的最佳选项,并在答题卡上将该项涂黑。

例:It’s so nice to hear from her again.   , we last met more than thirty years ago.

    A.What’s more     B.That’s to say     C.In other words   D.Believe it or not

    答案是D。

21.Steven’s exam results put him     the top ten students in his grade.

    A.among         B.between        C.in            D.at

试题详情

30.(每空2分,共18分)近年来,家禽生态养殖在我国发展很快。某地区建立了“稻-鸭”

  共作的生态型农业生产体系(如下图所示),实现了稻、鸭的双丰收。请回答下列问题。

  (1)从生态系统的组成成分上分析,该生态系统的生产者是    ,沼气池中的生物属于      。此生态系统的建立实现了物质的     

  (2)过去,羽毛加工厂通常将废弃的羽毛填埋于土壤中,利用土壤中的微生物将其分解。为了充分利用废弃的羽毛中的蛋白质资源,某研究小组欲从土壤中分离出能够水解羽毛角蛋白的细菌,他们应从      处取土壤,并制成土壤稀释液。以羽毛粉为唯一的氮源配制的培养基在功能上属于     培养基。

  (3)研究人员尝试利用羽毛粉制成饲料添加剂,以替代鱼粉添加剂来饲养产蛋鸡。请设计实验探究羽毛粉能否替代鱼粉作为饲料添加剂饲养产蛋鸡。

     实验材料:养殖的蛋鸡若干只,含羽毛粉的饲料,含鱼粉的饲料。

     实验步骤:

     ①将实验用鸡随机均分为甲、乙两组;

          ,其他饲养条件相同;

③观察记录,统计各组鸡的        

预期结果及分析:

如果         ,说明羽毛粉能替代鱼粉;

如果         ,说明羽毛粉不能替代鱼粉。

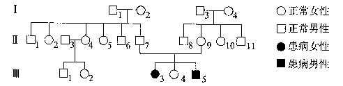
  31.(每空2分,20分)人的生长激素(hGH)缺乏的原因之一是患者缺失hGH基因片段,简称hGH基因缺失,患者表现为身材较正常人矮小。为进一步研究该病的遗传方式,指导优生,科研人员对首次发现的两列患者家系做了调查,调查的部分结果见下图。请回答下列问题:

  (1)hGH基因位于      染色体上,III-4杂合子的概率是      

  (2)右对此家族中某一未出生的孩子进行产前诊断,快速检测其是否患有该遗传病,应以      基因为标准(作为分子探针),通过      方法进行检测。

  (3)生长激素是由垂体分泌的。下图是人体内某些生命活动调节过程示意图。

     垂体除分泌生长激素外,还通过分泌[b]    来调节甲状腺的活动,由其释放的[d]    ,作用于肾脏,使尿量减少来调节人体内的       

  (4)由图可知,内分泌调节的枢纽是       ,④、⑤过程表示激素分泌的   调节。

  (5)如果用含有激素c的饲料饲喂小白鼠,再将其放到密闭的容器中饲养,此小鼠对缺氧的耐受力将    

试题详情

29.(12分,每空2分)葡萄生长需要强光照、适宜温度,春季大棚中的弱光、低温条件影响其生长。科研人员在不同低温条件下研究葡萄幼苗相关生理指标的变化,为葡萄的大棚栽培提供理论依据。实验的基因步骤如下:

   ①挑选长势相同、具有5~6片真叶的某种葡萄功苗如下,平均分成三组,分别在常温25°C、低温15°C及5°C的环境中培养8天,然后恢复常温培养4天。

②在培养的0、2、4、6、8天和恢复常温培养的第2(R2)天、第4(R4)天,进行各项生理指标测定。

③记录实验结果(如下图所示),并对实验结果进行统计分析。

请回答下列问题。

  (1)本实验中的对照组是      ;研究中测定的内容是       

  (2)在低温条件下,植物体内可产生大量的活性氧,活性氧的累积可引发膜脂过氧化,造成细胞膜系统的损伤,膜脂过氧化的产物之一是丙二醛(MDA)。超氧化物歧化酶(SOD)是存在于植物细胞中的最重要的清除活性氧的酶之一,对保护膜系统具有重要作用。膜脂的主要万分是     ,膜脂过氧化会影响系统的      

  (3)综合图1、图2所示结果:15°C的低温处理,对葡萄幼苗造成的伤害是   (可逆、不可逆)的,判断的依据是       .

试题详情

28.(14分)硝酸是一种重要的化工原料,工业上生产硝酸的主要过程如下:

  (1)以N2和H2为原料合成氨气。反应N2(g)+3H2(g)    2NH3(g)  △H<0

     ①下列措施可以提高H2的转化率是(填选项序号)     

     a.选择适当的催化剂            b.增大压强

        c.及时分离生成的NH3           d.升高温度  

②一定温度下,在密闭容器中充入1molN2和3molH2发生反应。若容器容积恒定,达到平衡状态时,气体的总物质的理是原来的,则N2的转化率a1=    

若容器压强恒定,达到平衡状态时,N2的转化率为a2,则a2   a1(填“>”、“<”或“=”)。

  (2)以氨气、空气为主要原料制硝酸。

     ①NH3被氧气催化氧化生成NO的反应的化学方程式是    

②在容积恒定的密闭容器中进行反应2NO(g)+O2(g)    2NO2(g)△H>0

该反应的反应速率(v)随时间(t)变化的关系如右图所示。若t2、t4时刻只改变一个条件,下列说法正确的是(填选项序号)         

   

a.在t1~t­2时,可依据容器内气体的压强保持不变判断反应已达到平衡状态

b.在t2时,采取的措施可以是升高温度

c.在t3~                      t4时,可依据容器内气体的密度保持不变判断反应已达到平衡状态

d.在t5时,容器内NO2的体积分数是整个过程中的最大值

  (3)硝酸厂常用如下2种方法处理尾气。

     ①催化还原法:催化剂存在时用H2将NO2还原为N2

     已知:2H2(g)+O2(g)=2H2O(g)  △H=-483.6kJ/mol

     N­2(g)+2O2(g)=2NO2(g)   △H=+67.7kJ/mol

     则H2还原NO2生成水蒸气反应的热化学方程式是       

②碱液吸收法:用Na2CO3溶液吸收NO2生成CO2

若每9.2gNO2和Na2FCO3溶液反应时转移电子数为0.1mol,则反应的离子方程式是

      

试题详情

27.(16分)硫代硫酸钠(Na2S2O3)可由亚硫酸钠和硫粉通过化合反应制得。

已知:Na2S2O3在酸性溶液中不能稳定存在。

  (1)某研究小组设计了制备Na2S2O3·5H2O装置和部分操作步骤如下。

  I.打开K1,关闭K2,向圆底烧瓶中加入足量浓硫酸,加热。

  II.C中混合液被气流搅动,反应一段时间后,硫粉的量逐渐减少。

当C中溶液的pH接近7时即停止C中的反应,停止加热。

  III.过滤C中的混合液。

  IV.将滤液加热浓缩、冷却结晶、过滤、洗涤、烘干,得到产品。

①I中,圆底烧瓶中发生反应的化学方程式是     

②II中,“当C中溶液的pH接近7时即停止C中的反应”的原因是     

“停止C中的反应”的操作是      

③III中,“过滤”用到的玻璃仪器是(填仪器名称)      

④装置B中盛放的试剂是(填化学式)     溶液,其作用是     

  (2)依据反应2S2O32-+I2=S4O2-6+2I-,可用I2的标准溶液测定产品的纯度。取5.5g产品,配制成100mL溶液。取10mL溶液,以淀粉溶液为指示剂,用浓度为0.050mol/LI2的标准溶液进行滴定,相关数据记录如下表所示。

编号
1
2
3
4
溶液的体积/mL
10.00
10.00
10.00
10.00
消耗I2标准溶液的体积/mL
19.99
19.98
17.13
20.03

     ①判断达到滴定终点的现象是       

②Na2S2O3·5H2O在产品中的质量分数是(计算结果保留1位小数)     

(Na2S2O3·5H2O的式量为248)

试题详情


同步练习册答案