0  268820  268828  268834  268838  268844  268846  268850  268856  268858  268864  268870  268874  268876  268880  268886  268888  268894  268898  268900  268904  268906  268910  268912  268914  268915  268916  268918  268919  268920  268922  268924  268928  268930  268934  268936  268940  268946  268948  268954  268958  268960  268964  268970  268976  268978  268984  268988  268990  268996  269000  269006  269014  447090 

1.下面有关生物实验的叙述中,说法正确的是                     (   )

①在探究温度对淀粉酶活性影响的实验中,可以使用斐林试剂作为检验试剂

②制作的小生态瓶除了提供必要的成分外,还应是密闭、透明的装置

③用纸层析法分离叶绿体中色素的结果中,蓝绿色色素带位于滤纸条的最下方 

④DNA的粗提取实验中,向鸡血细胞液中加蒸馏水的目的是为了使其吸水破裂

⑤用高倍显微镜观察细胞质流动时可以选择液泡作为标志物

A.③⑤      B. ②④      C.①②④    D.①②③

试题详情

36. (20分)某兴趣小组对一辆自制小遥控车的性能进行研究。他们让这辆小车在水平的

直轨道上由静止开始运动,并将小车运动的全过程记录下来,通过处理转化为v-t图象,

如图所示(除2s-10s时间段内的图象为曲线外,其余时间段图象均为直线).已知小车

运动的过程中,2s-14s时间段内小车的功率保持不变,在14s末停止遥控而让小车自

由滑行。小车的质量为1kg,可认为在整个过程中小车所受到的阻力大小不变。求:

(1)小车所受到的阻力大小;

(2)小车匀速行驶阶段的功率:

(3)小车在加速运动过程中位移的大小。

试题详情

35. (16分)如图所示,在光滑绝缘水平桌面上有两个静止的小球A和B,B在桌边缘,

A和B均可视为质点,质量均为m=0. 2kg,A球带正电,电荷量q=0. 1C,B球是绝缘体不带电,桌面离地面的高h=0.05m.开始时A、B相距L=0.1m,在方向水平向右、大小E=10N/C的匀强电场的电场力作用下,A开始向右运动,并与B球发生正碰,碰撞中A、B的总动能无损失,A和B之间无电荷转移.求:

   (1)A经过多长时间与B碰撞?

   (2)A、B落地点之间的距离是多大?

试题详情

34. (8分)在“用电压表、电流表测定电池的电动势和内电阻”的实验中所用电路如图(a)所示,现有如下器材:  

A.干电池一节;B.滑动变阻器,(最大阻值):C.滑动变阻器(最大阻值

D.电压表(量程3V):E.电压表(量程电流表(量程0.6A);G电流表(量程3A):H.电键、导线若干。

  (1)其滑动变阻器应选用________;电流表应选用_________;电压表应选用_______。(填写字母代号)。

  (2)如果根据实验数据画出U-I图线如图(b)所示,则电池的电动势是______V,内电阻是____Ω。

(3)根据电路图(a),请用线(表示导线)将图(c)中仪器连接成实验电路。

II. (10分)有一根细而均匀的导电材料样品,电阻约为已知这种材料的电阻率为ρ,因该样品的内径太小,无法直接测量。现提供以下实验器材:

A.20等分刻度的游标卡尺

B.螺旋测微器

C.电流表A1(量程50mA,内阻r1=100Ω)

D.电流表A2(量程100mA,内阻r2大约为40Ω)

E.电流表A3(量程3A,内阻r3大约为0.1Ω)

F.滑动变阻器R(0-10Ω,额定电流2A)

G.直流电源E(12V,内阻不计)

H.导电材料样品Rx(长L约为3cm,电阻Rx约为100Ω)

I.开关一只,导线若干

请根据上述器材设计一个尽可能精确地测量该样品内径d的实验方案,回答下列问题:

(1)(4分)用游标卡尺测得该样品的长度如图甲所示,其示数L=_______mm;用螺旋测微器测得该样品的外径如图乙所示,其示数D=_________mm。

(2)(4分)请选择合适的仪器,画出最佳实验电路图,并标明所选器材前的字母代号。

 (3)(2分)用已知物理量的符号和测量

量的符号来表示样品的内径d。

d=_________________

__________________

试题详情

33.(16分)工业上生产硫酸时,利用催化氧化反应将SO2转化为SO3是一个关键步骤。

(1)现将充入-密闭容器充分反应生成SO3(g)后,放出热量98.3kJ,

此时测得SO2的转化率为50%,该反应的热化学方程式为:

____________________________________________________.

(2)一定条件下,向一带活塞的密闭容器中充入2molSO2和1molO2,发生下列反应:

达到平衡后改变下述条件,SO3气体平衡浓度改变的是______(填字母).

A.保持温度和容器体积不变,充入

B.保持温度和容器内压强不变,充入

C.保持温度和容器内压强不变,充入

D.保持温度和容器内压强不变,充入1mol Ar

(3)某温度下,反应在10.0L的密闭容器中进行,若反应开始前向容器中加入当反应达到平衡时,混合气体总物质的量为计算:

的平衡转化率是____.

②该条件下反应的平衡常数K=________.

试题详情

32.(14分)有机物A具有果香味的液体,分子式为。能发生下图所示的转化,F

是常见的有机高分子化合物。

请回答下列问题:

(1)写出物质F的结构简式:_________________.

(2)写出下列转化的化学方程式并注明反应的类型:

①:________________________,反应类型____________________________ 。

④:________________________,反应类型_____________________________。

(3)物质A的同类别的同分异构体有_______种(不包含A本身).

试题详情

31.(18分)红钒钠(重铬酸钠:,橙红色晶体)是重要的化工原料。工业

铬铁矿(,含少量)按以下过程来制取红钒钠。

(1)步骤1的反应有:

生成1 mol Na2CrO4转移的电子数为____mol;

原料中加入CaCO3的作用是__________(填字母)。

A.分解产生CaO,与某些杂质反应形成炉渣

B.分解时放出大量热量,提高煅烧温度

C.分解产生CO2从下而上穿过,使得炉料翻滚,使原料充分、快速被煅烧氧化

(2)浸取液中含有铝和硅的化合物,步骤III过滤前要用稀H2SO4将浸取液的pH调至7-8,并煮沸除去铝和硅的化合物,其离子方程式为:

____________________________________________。

(3)步骤IV反应的离子方程式为:_____________________________.

右图是的溶解度曲线:

(4)据此,步骤V操作的方法是:将IV所得溶液蒸

发浓缩,趁热过滤得到的晶体是____(填化学式);

然后将所得滤液____(填操作方法),得到的晶体

是____(填化学式)。

试题详情

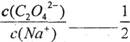
30.(16分)草酸(H2C2O4)是一种二元弱酸,它在水溶液中的存在形式的分布与pH关系如下图所示:  

(1)欲采用草酸为沉淀剂测定钙离子(生成CaC2O4沉淀)时,溶液的pH值应维持在(填

字母)________ 。

    A. 0-1    B. 1-3   C. 3-5   D.≥5

(2) Na2C2O4溶液中,(填“>”、“<”或“=”)。

(3)H2C2O4是用来标定KMnO4常用的基准物质,一般开始滴定时,控制溶液的c(H+)大

约为0.5-1 mol·L-1,该滴定反应的离子方程式为____________。

(4)下表为物质的量浓度相同的几种酸对铁锈及锅炉水垢的溶解性的比较:

下列推断可能正确的有____(填字母)。

A.酸性越强的酸除铁锈效果越好

B.草酸除水垢效果差的原因是因为草酸酸性太弱

C.铁锈或水垢在酸中的溶解性与酸根离子的性质可能有关

D.硫酸除铁锈和水垢的效果都好

试题详情

29.(16分)下面左图为某草原生态系统的结构简图,“→”表示碳的流动方向,右图表示

某植食性昆虫迁入该生态系统后的种群数量增长率变化曲线。

  (1)A→E和D→B过程中碳的流动形式分别是________。

  (2)若消耗生产者10 000 kg,位于最高营养级的生物最多可增重_____kg。

  (3)左图中食物链上的相邻物种之间存在着捕食关系,相邻物种的某些个体行为与种群特征为对方提供了大量的有用信息,这说明信息传递在生态系统中的作用是_______.

  (4)右图中,在t1时期种群的年龄组成为_____型,在t2时期后,种群数量将_________.

  (5)在牧业生产中,为保护优良牧草,连年使用同一种化学杀虫剂,常导致害虫再度大爆发。其主要原因是:

①_______________________;

②_______________________.

试题详情

28.(16分)利用甲图实验装置测得某阴生植物叶片在不同光照强度下气体体积变化曲线如乙图,丙图示发生在该叶片中某叶肉细胞的代谢过程。

 (1)如甲图所示,标记实验开始时毛细刻度管中的液滴所在的位置。实验时,当光照强度由0渐变为2.5千勒克司过程中,液滴所在位置应向________移动。P点时,丙图所示细胞中是否发生①和②过程?____。

(2)在图乙中,若将该装置放置于黑暗处6h,再移入a点条件下_____h,实验前后的植物有机物含量不变。

(3) CO2和C5结合产生三碳酸的过程是否需要消耗ATP?______(需、不需)。

(4)如果将甲图实验装置中的新鲜绿叶换成某阳生植物的叶片时,在相应的光合曲线上,P点应向_________移动。

(5)丙图中E→D的物质变化场所在____;丙图字母中,____和____、____和_______表示同一种物质。

试题详情


同步练习册答案