0  274874  274882  274888  274892  274898  274900  274904  274910  274912  274918  274924  274928  274930  274934  274940  274942  274948  274952  274954  274958  274960  274964  274966  274968  274969  274970  274972  274973  274974  274976  274978  274982  274984  274988  274990  274994  275000  275002  275008  275012  275014  275018  275024  275030  275032  275038  275042  275044  275050  275054  275060  275068  447090 

7、设曲线的参数方程为(为参数),直线的方程为,则曲线上到直线距离为的点的个数为

A、1            B、2               C、3              D、4

试题详情

6.D

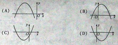
[解析]当时,同号,(C)(D)两图中,故,选项(D)符合.

[方法技巧]根据二次函数图像开口向上或向下,分两种情况分类考虑.另外还要注意c值是抛物线与y轴交点的纵坐标,还要注意对称轴的位置或定点坐标的位置等.

试题详情

6、设,二次函数的图象可能是

试题详情

5.C

[解析]双曲线的,所以右焦点为.

[误区警示]本题考查双曲线的交点,把双曲线方程先转化为标准方程,然后利用求出c即可得出交点坐标.但因方程不是标准形式,很多学生会误认为,从而得出错误结论.

试题详情

5、双曲线方程为,则它的右焦点坐标为

A、      B、         C、       D、

试题详情

4、若上周期为5的奇函数,且满足,则

A、-1          B、1               C、-2            D、2

[答案]A

试题详情

3、设向量,则下列结论中正确的是

A、                         B、

C、垂直                   D、

[答案]C

试题详情

2、若集合,则

A、  B、  C、  D、

[答案]A

试题详情

1.B

[解析],选B.

[规律总结]为分式形式的复数问题,化简时通常分子与分母同时乘以分母的共轭复数,然后利用复数的代数运算,结合得结论.

试题详情

1、是虚数单位,

A、       B、        C、       D、

试题详情


同步练习册答案