0  283578  283586  283592  283596  283602  283604  283608  283614  283616  283622  283628  283632  283634  283638  283644  283646  283652  283656  283658  283662  283664  283668  283670  283672  283673  283674  283676  283677  283678  283680  283682  283686  283688  283692  283694  283698  283704  283706  283712  283716  283718  283722  283728  283734  283736  283742  283746  283748  283754  283758  283764  283772  447090 

17. (本小题满分13分)

如图,矩形ABCD和梯形BEFC所在平面互相垂直,BE∥CF且

BE<CF,∠BCF=,AD=,EF=2.

(Ⅰ)求证: AE∥平面DCF;

(Ⅱ)若,且二面角A-EF-C的大小为,求的长。

试题详情

16.(本小题满分13分)

已知

函数

  (Ⅰ)求时,函数的取值范围;

  (Ⅱ)在中,abc分别是角ABC、的对边,且,求的面积

试题详情

14. 函数的图象在点处的切线方程是=  *** 

试题详情

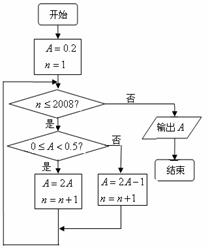
13.已知某程序框图如图所示,则该程序运行后输出的结果为  *** 

试题详情

12.过双曲线()的左焦点轴的垂线交双曲线于点为右焦点,若,则双曲线的离心率为  *** 

试题详情

11.的展开式中常数项是  ***  。(用数字作答)

试题详情

10.已知函教的图象与直线的三个相邻交点的横坐标分别是,则的单调递增区间是( *** )

A.     B.   

C.      D.

第II卷(非选择题)

试题详情

9. 设是函数的导函数,将的图象画在同一个直角坐标系中,不可能正确的是( *** )

试题详情

8.一个不透明圆锥体的正视图和侧视图(左视图)为两全等的正三角形.若将它倒立放在桌面上,则该圆锥体在桌面上从垂直位置倒放到水平位置的过程中(含起始位置和最终位置),其在水平桌面上正投影不可能是( *** )

 

试题详情


同步练习册答案