0  296212  296220  296226  296230  296236  296238  296242  296248  296250  296256  296262  296266  296268  296272  296278  296280  296286  296290  296292  296296  296298  296302  296304  296306  296307  296308  296310  296311  296312  296314  296316  296320  296322  296326  296328  296332  296338  296340  296346  296350  296352  296356  296362  296368  296370  296376  296380  296382  296388  296392  296398  296406  447090 

12、在大型演唱晚会上,观众经常使用荧光棒来增添喜庆气氛。荧光棒内草酸二苯酯和过氧

化氢反应导致发光的原理大致如下:①草酸二苯酯+H2O2-→C2O4+2C6H5OH;②生成的中间产物把能量传递给染料:C2O4+染料-→染料(电子激发态)+2CO2,电子激发态的染料不稳定,借发光而回到基态。下列说法不正确的是

A. 草酸二苯酯的分子式是C14H10O4     B. 上述变化证明化学能可以转化为光能

C.  C2O4的结构简式是      D. 反应①属于酯水解反应

试题详情

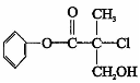
11、某有机物A 是农药生产中的一种中间体,其结构简式如下。下列叙述中正确的一项是

A.有机物A 最多20个原子共平面 B.有机物A 可以和Br2的CCl4溶液发生加成反应

C.有机物A 和浓硫酸混合加热,可以发生消去反应

D.1 mo1A 和足量的NaOH 溶液反应,最多可以消耗2mol NaOH

试题详情

9、下列实验方案可行的是(    )

A.为除去苯中的少量苯酚,向混合物中加入适量的溴水后过滤

B.证明                中一定有碳碳不饱和键:滴入KMnO4酸性溶液,看紫红

色是否褪去

C.检验溶液中一定有:加入稀盐酸,将产生的气体通入澄清石灰水

D.用溴水鉴别苯、乙醇、四氯化碳.

C.pH=2的HA溶液与pH=12的MOH溶液任意比混合:c(H+) + c(M+)=c(OH) + c(A)

D.0.1 mol·L-1的NaHA溶液,其pH=4:c(HA)>c(H+)>c(H2A)>c(A2-)

试题详情

8、NA表示阿伏伽德罗常数,下列叙述正确的是(  )

A.标况下,11.2L氯仿中的C-Cl键数目为1.5NA

B.1 mol冰中,氢键的数目是NA

C.28克乙烯和聚乙烯的混合物完全燃烧生成CO2分子数为2 NA

D.将5.6克铁投入一定量的硝酸中,转移电子数为0.3NA

试题详情

7、下列实验报告记录的实验现象正确的是(   )

试题详情

6、食品保鲜膜按材质分为聚乙烯(PE)、聚氯乙烯(PVC)等种类。PE保鲜膜可直接接触食

品,PVC保鲜膜则不能直接接触食品,它对人体有潜在危害。下列有关叙述不正确的是

A. PE、PVC都属于链状高分子化合物,受热易熔化

B. PE、PVC 的单体都是不饱和烃,能使溴水褪色

C.焚烧PVC保鲜膜会放出有毒气体HCl

D. 废弃的PE和PVC均可回收利用以减少白色污染

试题详情

5、下面是有关人和高等动物生命活动调节的说法,判断正确的是

①在人体内促甲状腺激素的受体比甲状腺激素的受体分布更广泛 ②人体通过反馈调节

的方式维持血液中性激素和胰岛素含量的相对稳定 ③胰岛A细胞和胰岛B细胞可直接感

受血糖浓度变化的刺激而产生相应的应答反应 ④饥饿时,由下丘脑发出的有关神经的兴

奋可使胰高血糖素和肾上腺素的分泌都增加 ⑤在寒冷环境中,人体肾上腺素和甲状腺激

素的分泌量增加都是神经调节的结果 ⑥寒冷环境中甲状腺激素分泌量增加,将引起骨骼

肌不自主战粟 ⑦静息状态时神经元的细胞膜内外没有离子进出 ⑧在草原上快速奔跑的

狼体内,兴奋以局部电流的形式在神经纤维上双向传导 ⑨血浆渗透压与蛋白质含量有

关,与无机盐离子含量无关

A.有一个以上说法正确         B.只有一个说法正确

C.所有的说法都正确          D.没有一个说法正确

试题详情

4、下列有关右图所示细胞分裂曲线图段(不含a、c两点)的叙述正确的是

A.细胞中始终存在核膜、核仁及纺锤体

B.细胞中要经历姐妹染色单体的形成、出现和清晰的变化

C.一个细胞变成两个细胞,两个细胞中的染色体数目可能

不同

D.若在段将其核DNA带上,则其中bc段细胞中被   标记的染色体占总数的一半

试题详情

3、切除老鼠体内的甲状腺,10天后将其与没有切除甲状腺的老鼠相比,其物质代谢能力大

大下降;若切除5天后,连续给老鼠注射一定量溶于某种溶剂中的甲状腺激素,5天后

再观察,发现其物质代谢能力没有下降,由此可以推测:甲状腺激素能增强物质代谢能

力。为了证明这一推论,有必要再设置一个对照实验,则下列对照实验中,最适宜的是

A.既不切除体内的甲状腺,又不注射甲状腺激素

B.增加甲状腺激素的注射量后进行切除手术,过5天后再移植甲状腺

C.连续15天注射溶解于另一种溶剂的甲状腺激素到刚刚做完切除甲状腺手术的老鼠体内

D.从切除老鼠体内的甲状腺后的第5天开始,只注射用于该实验的溶剂

试题详情

2、下面是关于植物生命活动调节的有关叙述,判断正确的是

①温特实验中生长素从胚芽鞘尖端基部进入琼脂块的方式是扩散 ②燕麦胚芽鞘中生长

素的极性运输和横向运输分别与重力、光照方向有关 ③顶芽生长占优势时侧芽生长素

的合成受到抑制 ④在去掉顶芽的断口处放一块含生长素的羊毛脂能解除植物的顶端优

势 ⑤不用生长素处理的枝条,扦插时不能成活 ⑥在植物组织培养中生长素和细胞分裂

素的不同配比会影响组织分化 ⑦根的向地生长和茎的背地生长都能体现植物生长素对

生长作用的两重性

A.只有一项叙述正确 B.只有两项叙述正确 C.只有三项叙述正确 D.不只三项叙述正确

试题详情


同步练习册答案