0  297208  297216  297222  297226  297232  297234  297238  297244  297246  297252  297258  297262  297264  297268  297274  297276  297282  297286  297288  297292  297294  297298  297300  297302  297303  297304  297306  297307  297308  297310  297312  297316  297318  297322  297324  297328  297334  297336  297342  297346  297348  297352  297358  297364  297366  297372  297376  297378  297384  297388  297394  297402  447090 

22.(本小题满分13分)

解: (Ⅰ)方法1:

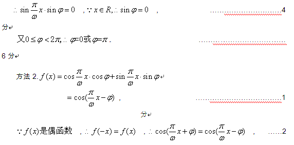
,  ………………………………………………1分

 ,

, ……………………………………………………………2分

 ,

 ,

.            ………………………………4分       ;           ………………………………6分(Ⅱ)

可知;          …………………………7分

 

 ,        …………………………9分

  , .    …………………………11分

 

 

.      ……13分

试题详情

21.(本小题满分13分)

解:(Ⅰ)四边形为平行四边形,

.                ……………………………2分

,∴

依题意非零且不共线,∴.          ………………………4分

(Ⅱ)设.

 即 

                    …………………6分

   又

  .         ……………………………………………………………11分

  ,则.

     

 

.    ………………………………………………………13分

试题详情

20.(本小题满分12分)

解:(Ⅰ) .             ……………1 .………………………………………………………8分

 .          …………………………9分

 .      …………………………………10分

      .    ………………………………

12分

试题详情

19.(本小题满分12分)

解:四边形ABCD为正方形.                   ……………… 1分

证明:由 ,               ……………… 3分

 ,              ……………………… 5分

 , 

ABDC, AB=DC.

ABCD是平行四边形 .                 ……………………… 7分

,              ……………………… 8分

=3×(-1)+1×3=0,                  ……………… 10分               

ABAD.

又 ||=,||=AB=AD .

∴平行四边形ABCD是正方形.               ……………………  12分

试题详情

18. (本小题满分12分)

解: (Ⅰ)

     

     

       ,            …………………………3分

   .                      ………………………4分

 ,

试题详情

17. (本小题满分12分)

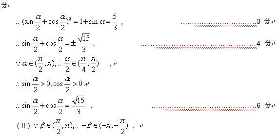
解:(Ⅰ)∵ ,即, …………………………3分

,故.   ………………………………6分

(Ⅱ)∵=,且 ,        ……………9分

.          ………………………………………………………12分

试题详情

4、在就业岗位的技能培养上下功夫,努力使在本康复站培训的学员的成绩在原有的基础上有更大的进步。在劳动项目的选择上更多些形式,让他们都得到不同形式的培训和提高。

 社会在发展,时代在前进,在工作中,还会遇到各种各样的特点和问题。作为有责任感的特殊教育工作者,自己必须以高度的敏感性和自觉性,及时发现、研究和解决学生教育和管理工作中的新情况、新问题,掌握其特点、发现其规律,尽职尽责地做好工作,以完成我们肩负的神圣历史使命。

 一份春天的劳作,就会有一份秋天的果实。在特殊教育的岗位上,我付出的是汗水和泪水,然而我收获的却是那一份份充实,沉甸甸的情感。我用我的心去教育我的学生,我用我的情去培育我的学生,我无愧于我心,我无悔于我的事业。让我把一生矢志特殊教育的心愿化为热爱学生、培养他们掌握求生技能,能够平等的融入到正常社会生活中的一团火,将自己最珍贵的爱奉献给这些残障学生,相信今日含苞欲放的花蕾,明日一定能盛开绚丽的花朵。

试题详情

3、利用各种方法,训练学生提高、集中注意力。

试题详情

2、对动手能力差的学员多些关心,多点爱心,再多一些耐心,使他们在各方面有更大进步。

试题详情

1、加强自身业务素质的训练,工作中做到讲练结合,注重对学员能力的培养。

试题详情


同步练习册答案