0  310591  310599  310605  310609  310615  310617  310621  310627  310629  310635  310641  310645  310647  310651  310657  310659  310665  310669  310671  310675  310677  310681  310683  310685  310686  310687  310689  310690  310691  310693  310695  310699  310701  310705  310707  310711  310717  310719  310725  310729  310731  310735  310741  310747  310749  310755  310759  310761  310767  310771  310777  310785  447090 

8.一带电小球在空中由A点运动到B点的过程中,受重力和电场力作用.若重力做功-3J,电场力做功1J,则小球的

A.重力势能增加3J     B.电势能增加1J

C.动能减少3J      D.机械能增加1J

试题详情

7.如图所示,一名消防队员在模拟演习训练中,沿着长为12m的竖立在地面上的钢管往下滑.已知这名消防队员的质量为60㎏,他从钢管顶端由静止开始先匀加速再匀减速下滑,滑到地面时速度恰好为零.如果他加速时的加速度大小是减速时的2倍,下滑的总时间为3s, g取10m/s2,那么该消防队员

A.下滑过程中的最大速度为4 m/s

B.加速与减速过程的时间之比为1∶2

C.加速与减速过程中所受摩擦力大小之比为1∶7

D.加速与减速过程的位移之比为1∶4

试题详情

6.如图所示,质量为m的小球在竖直面内的光滑圆形轨道内侧做圆周运动,通过最高点且刚好不脱离轨道时的速度为v,则当小球通过与圆心等高的A点时,对轨道内侧的压力大小为

A.mg   B.2mg   C.3mg   D.5mg

试题详情

5.如图所示,一根质量为m的金属棒AC用软线悬挂在磁感强度为B的匀强磁场中,通入A→C方向的电流时,悬线张力不为零,欲使悬线张力为零,可以采用的办法是

A.不改变电流和磁场方向,适当增大电流

B.只改变电流方向,并适当减小电流

C.不改变磁场和电流方向,适当减小磁感强度

D.同时改变磁场方向,并适当减小磁感强度

试题详情

4.如图所示,abc为电场中同一条水平方向电场线上的三点,cab中点.ab电势分别为.下列叙述正确的是

A.该电场在c点处的电势一定为4 V

B.a点处的场强一定大于b点处的场强

C.一正电荷从c点运动到b点电势能一定减少

D.一正电荷运动到c点时受到的电场力由c指向a

试题详情

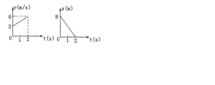
3.质量为2kg的物体在x-y平面上做曲线运动,在x方向的速度图像和y方向的位移图像如图所示,下列说法正确的是

A.质点的初速度为5m/s

B.质点所受的合外力为3N

C.质点初速度的方向与合外力方向垂直

D.2s末质点速度大小为6m/s

试题详情

2.一个物体受到恒定的合力作用而做曲线运动,则下列说法正确的是 

A.物体的速率可能不变

B.物体一定做匀变速曲线运动,且速率一定增大

C.物体可能做匀速圆周运动

D.物体受到的合力与速度的夹角一定越来越小,但总不可能为0

试题详情

1.假设地球同步卫星的轨道半径是地球半径的n倍,则

A.同步卫星运行速度是第一宇宙速度的

B.同步卫星的运行速度是第一宇宙速的

C.同步卫星的运行速度是地球赤道上物体随地球自转速度的n倍

D.同步卫星的向心加速度是地球表面重力加速度的

试题详情

(17)(本小题满分14分)

已知中,,记,  (Ⅰ)求关于的表达式;

(Ⅱ)求的值域.

(18)(本小题满分14分)

某食品企业一个月内被消费者投诉的次数用表示,据统计,随机变量的概率分布如下:


0
1
2
3
p
0.1
0.3
2a
a

(Ⅰ)求a的值和的数学期望;

(Ⅱ)假设一月份与二月份被消费者投诉的次数互不影响,求该企业在这两个月内共被消费者投诉2次的概率.  

(19)(本小题满分14分)

在直三棱柱中,,且异面直线 所成的角等于,设

   (Ⅰ)求的值;

   (Ⅱ)求平面与平面所成的锐二面角的大小.

(20)(本小题满分14分)

已知A、B、C是椭圆上的三点,其中点A的坐标为,BC过椭圆m的中心,且.

(Ⅰ)求椭圆的方程;

(Ⅱ)过点的直线l(斜率存在时)与椭圆m交于两点P,Q,设D为椭圆m与y轴负半轴的交点,且.求实数t的取值范围.                                 

(21)(本小题满分14分)

已知函数的图象经过点为数列

的前项和.

(Ⅰ)求

(Ⅱ)若数列满足求数列的前项和.

辽宁省锦州市2010届高三上学期期末考试

试题详情

(13)若某几何体的三视图(单位:)如图所示,

则此几何体的体积是      . 

(14)用二分法求方程x3-2x-5=0在区间[2,3]上的近似解,取区间中点x0=2.5,那么下一个有解区间为       .

(15)从某地区15000位老人中随机抽取500人,其生活能否自理的情况如下表所示:

则该地区生活不能自理的老人中男性比女性约多______人.

(16)△ABC中,A为动点,B、C为定点,B(-,0),C(,0)(其中m>0,且m为常数),且满足条件sinC-sinB=sinA,则动点A的轨迹方程为_________.

试题详情


同步练习册答案