0  312377  312385  312391  312395  312401  312403  312407  312413  312415  312421  312427  312431  312433  312437  312443  312445  312451  312455  312457  312461  312463  312467  312469  312471  312472  312473  312475  312476  312477  312479  312481  312485  312487  312491  312493  312497  312503  312505  312511  312515  312517  312521  312527  312533  312535  312541  312545  312547  312553  312557  312563  312571  447090 

19.是离子型金属碳化物,容易发生水解反应,生成乙炔和氢氧化钙。现有

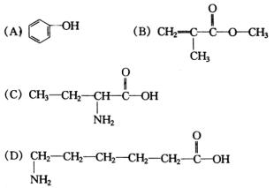
等同属离子型金属碳化物,也可发生水解反应,请从的反应进行思考,从中得到必要的启示,判断水解产物的有机物是的是(  )

  (A)   (B)   (C)   (D)

试题详情

18.含有“C=C”碳碳双键的有机物,在一定条件下发生氧化反应时,碳碳双键断裂,断裂处分别与氧原子相连,如

下列各“烯烃”分别被氧化后,产物中可能有乙二醛的是(   )

 

试题详情

17.含有甲基的醛酮溶液混合后,可发生如下反应:

俗称碘仿,是个黄色固体,这个反应称为碘仿反应。根据上述内容,推断下列有机化合物中能发生碘仿反应的是(   )

 

试题详情

16.已知葡萄糖溶于水存在以下平衡:

 

这个反应可看成是醇羟基与醛基间发生的加成反应,若用此反应合成链状的醚

,应当选择的两种简单有机物是(   )

  (A)乙二醇和异丙醇   

 (B)乙醛和异丙醇

 (C)乙醇和丙酮

 

试题详情

15.醇类在催化剂存在下可发生脱去两个氢原子的反应,,在发生脱氢反应所得产物中不可能是下列物质中的(   )

 

试题详情

14.某有机化合物的分子式为,经研究表明该有机物不能发生加成反应和加聚反应,在常温下难于被酸性溶液氧化,但在一定条件下却可与发生取代反应,且一取代物只有一种。对该有机物的结构推断正确的是(   )

  (A)在该有机物中肯定不含有碳碳双键

  (B)该有机物肯定是芳香烃

  (C)该有机物肯定具有环状结构

  (D)该有机物肯定具有三度空间的体形结构

试题详情

13.格氏试剂在有机合成上有重要作用,它的结构简式可以表示为:(表示烃基,X表示卤素原子)。格氏试剂能与醛、酮发生加成反应,所得加成产物再水解可得到醇。例如:

若用上述方法制取,应选用的试剂是下列中的(   )

 

试题详情

根据以下叙述,回答11-12题:

硫醇是巯基(-SH)与链烃基相连的含硫有机物,硫醇的性质与醇类有相似之处。例如,硫醇能跟金属钠发生置换反应,也能在一定条件下跟乙酸发生酯化反应。另外,硫醇还具有一些醇类所没有的化学性质,例如,硫醇能跟溶液发生中和反应生成硫醇钠,硫醇在空气中能被氧化为磺酸。根据以上叙述回答:

11.下列关于醇与硫醇性质的分析比较,其中叙述正确的是(   )

  (A)乙硫醇的沸点比乙醇的沸点略高

  (B)乙硫醇的还原性比乙醇的还原性要强

  (C)乙硫醇在水中的溶解性略强于乙醇

  (D)乙硫醇的酸性比乙醇的酸性要强

12.下列有关硫醇的化学方程式或离子方程式肯定错误的是(   )

 

试题详情

10.乙烯酮的结构简式是:,它是一类活泼的有机物,在一定条件下能与含活泼氢的化合物发生加成反应,反应式可表示为:

乙烯酮在一定条件下与下列试剂加成时其产物不正确的是(   )

 

试题详情

9.在下列各有机物中,在一定条件下自身分子间能发生缩聚反应,而在适当条件下自身分子内又可形成环状结构化合物的是(   )

 

试题详情


同步练习册答案