0  312461  312469  312475  312479  312485  312487  312491  312497  312499  312505  312511  312515  312517  312521  312527  312529  312535  312539  312541  312545  312547  312551  312553  312555  312556  312557  312559  312560  312561  312563  312565  312569  312571  312575  312577  312581  312587  312589  312595  312599  312601  312605  312611  312617  312619  312625  312629  312631  312637  312641  312647  312655  447090 

17.(8分)矩形绝缘板固定在水平面上,另有一质量为m,带电量为q的小物块沿板的上表面以某一初速度从左端A水平向右滑上该板,整个装置处于竖直向下,足够大的匀强电场中,小物块沿板运动至右端B恰好停在板上.若强场大小不变而方向反向,当小物块仍由A端以相同的初速度滑上板面,则小物块运动到距A端的距离为板长2/3处时,就相对于板静止了.求:⑴小物块带何种电荷?⑵匀强电场场强的大小E

18、(10分)如图所示,皮带传动装置与水平面夹角为30°,轮半径R= m,两轮轴心相距L=3.75m,AB分别使传送带与两轮的切点,轮缘与传送带之间不打滑。一个质量为0.1kg的小物块与传送带间的动摩擦因数为μ= 。g取10m/s2

(1)当传送带沿逆时针方向以=3m/s的速度匀速运动时,将小物块无初速地放在A点后,它运动至B点需多长时间?(计算中可取)

(2)小物块相对于传送带运动时,会在传送带上留下痕迹。当传送带沿逆时针方向匀速运动时,小物块无初速地放在A点,运动至B点飞出。要想使小物块在传送带上留下的痕迹最长,传送带匀速运动的速度至少多大?

衡阳市八中2010届高三第五次月考

试题详情

16、(6分)如图所示,在水平桌面的边角处有一轻质光滑的定滑轮K,一条不可伸长的轻绳绕过K分别与物块A、B相连,A、B的质量分别为mA、mB。开始时系统处于静止状态。现用一水平恒力F拉物块A,使物块B上升。已知当B上升距离为h时,B的速度为v。求此过程中物块A克服摩擦力所做的功。重力加速度为g。

试题详情

15.(10分)在如图所示电路中,=6Ω,=3Ω,=1Ω,电流表内阻不计,电池组的电动势E=18V,内阻r=1.6Ω,求:

 (1)当开关接通,断开时,电流表的示数是多少? 

 (2)当开关同时接通时,电流表的示数是多少?

试题详情

14. 某一电压表的刻度清楚,但刻度上的数字模糊不清了。某同学为了尽量准确地测定该电压表的量程(大于2.5 V,小于3.5 V)和内阻(大于1 k,小于3 k),设计了如图甲所示的电路图,图中是定值电阻。请按要求完成下列问题。

(1)请按照图甲中的电路图,在图乙的实物图上完成实物连线。

(2)实验室提供了下列器材:

   A.定值电阻,电阻值20      B.定值电阻,电阻值600

   C.电流表(量程l A,内阻O.5 )   D.电流表(量程10 mA,内阻50 )

   E.电流表(量程5mA,内阻100)   F.滑动变阻器R(50,允许最大电流1A)

   G.电池组(电动势6 V)         H.开关,导线若干

   为了测量尽可能准确,定值电阻应选用①__________;电流表A1应选用②__________;

电流表应选用③______________(以上各空均填器材的序号字母)。

   (3)该同学接通电路后,调节滑动变阻器,电压表达到满偏刻度时,电流表的读数为

,电流表的读数为,定值电阻的阻值用表示,电流表的内阻用表示,则该电压表的量程为①_________;内阻为②__________(用表示)。

试题详情

13.测量一小段金属丝的直径和长度,得到如下情形,则这段根金属丝直径①   ㎜,长度是②   ㎝。

试题详情

12、图示为某探究活动小组设计的节能运动系统。斜面轨道倾角为30°,质量为M的木箱与轨道的动摩擦因数为。木箱在轨道上端时,自动装货装置将质量为m的货物装入木箱,然后木箱载着货物沿轨道无初速滑下,与轻弹簧被压缩至最短时,自动卸货装置立刻将货物卸下,然后木箱恰好被弹回到轨道顶端,再重复上述过程。下列选项正确的是:

  A.m=M       B.m=2M

  C.木箱不与弹簧接触时,上滑的加速度大于下滑的加速度

  D.在木箱与货物从顶端滑到最低点的过程中,减少的重力势能全部转化为弹性势能

试题详情

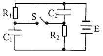
11.在右图所示的电路中,已知C1=C2,电阻R1>R2,电源电动势为E,内阻不计,当开关S由断开到接通时,下列说法正确的是(  )

     A.C1所带的电量变多,C2所带的电量变少

     B.电路稳定后C1所带的电量小于C2所带的电量

     C.C1和C2的电量都变多

     D.C1和C2的电量都变少

试题详情

9.如右图所示,曲线C1、C2分别是纯电阻直流电路中,内、外电路消耗的电功率随电流变化的图线.由该图可知下列说法中错误的是(    )

   A.电源的电动势为4V

B.电源的内电阻为1Ω

   C.电源输出功率最大值为8W

   D.电源被短路时,电源消耗的最大功率可达16W

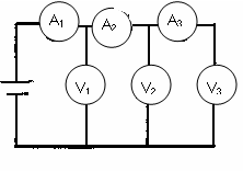
 10.如图所示电路中,V1、V2、V3是三个内阻相同的电压表,A1、A2、A3是三个内阻相同的电流表。若已知A1的示数为I1,A2的示数为I2,V1的示数U1。则根据以上条件可以求出 (   )

     A.电压表的内阻      

     B.电流表的内阻

     C.电流表A3的示数

     D.电压表V2和V3示数的和

试题详情

8、两个质量相同的小球用不可伸长的细线连结,置于场强为E的匀强电场中,小球1和小球2均带正电,电量分别为q1q2(q1q2)。将细线拉直并使之与电场方向平行,如图所示。若将两小球同时从静止状态释放,则释放后细线中的张力T为(不计重力及两小球间的库仑力)

A.   B.

C.   D.

试题详情

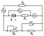
7.如图所示,图中的四个电表均为理想电表,当滑线变阻器滑动触点P向右端移动时,下面说法中正确是:

A.伏特表V1的读数减小,安培表A1的读数增大

B.伏特表V1的读数增大,安培表A1的读数减小

   C.伏特表V2的读数减小,安培表A2的读数增大

D.伏特表V2的读数增大,安培表A2的读数减小

试题详情


同步练习册答案