0  312706  312714  312720  312724  312730  312732  312736  312742  312744  312750  312756  312760  312762  312766  312772  312774  312780  312784  312786  312790  312792  312796  312798  312800  312801  312802  312804  312805  312806  312808  312810  312814  312816  312820  312822  312826  312832  312834  312840  312844  312846  312850  312856  312862  312864  312870  312874  312876  312882  312886  312892  312900  447090 

7.(2009泰安一模)已知函数y=f(x)与互为反函数,函数y=g(x)的图像与y=f(x)图像关于x轴对称,若g(a)=1,则实数a值为

   (A)-e   (B)    (C)    (D) e

答案 C

试题详情

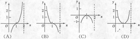
6.(2009日照一模)(函数的图象如右图所示,则函数的图象大致是

答案 C

试题详情

5.(2009日照一模)(6)函数的零点一定位于区间

    A.(1,2)  B.(2,3)  C.(3,4)   D.(4,5)

答案 A

试题详情

4.(2009青岛一模)设奇函数上为增函数,且,则不等式的解集为

A. B. C.  D.

答案 D

试题详情

3.(2009临沂一模)设f(x)是连续的偶函数,且当x >0时是单调函数,则满足f(2x)=f()的所有x之和为

A、      B、     C、-8      D、8

答案 C

试题详情

2.(2009临沂一模)已知函数f(x)=,若x0是方程f(x)=0的解,且0<x1<x0,则f(x1)的值为

A.恒为正值     B.等于0    C.恒为负值    D.不大于0

答案 A

试题详情

1.(2009聊城一模)已知函数上的奇函数,

  当x>0时,的大致图象为               (   )

答案 B

试题详情

14.(2009广东三校一模)设函数.

(1)求的单调区间;

(2)若当时,(其中)不等式恒成立,求实数的取值范围;

(3)试讨论关于的方程:在区间上的根的个数.

解  (1)函数的定义域为.   1分

;                            2分          

,                        3分

则增区间为,减区间为.                     4分

(2)令,由(1)知上递减,在上递增,                                    6分

,且,           8分

时, 的最大值为,故时,不等式恒成立.                                   9分

(3)方程.记,则

.由;由.

所以g(x)在[0,1]上递减,在[1,2]上递增.

而g(0)=1,g(1)=2-2ln2,g(2)=3-2ln3,∴g(0)>g(2)>g(1)         10分

所以,当a>1时,方程无解;

当3-2ln3<a≤1时,方程有一个解,

当2-2ln2<a≤a≤3-2ln3时,方程有两个解;

当a=2-2ln2时,方程有一个解;

当a<2-2ln2时,方程无解.                        13分

字上所述,a时,方程无解;

或a=2-2ln2时,方程有唯一解;

时,方程有两个不等的解.                 14分

9月份更新

试题详情

10.(江西师大附中2009届高三数学上学期期中)

已知定义域为R的函数是奇函数.

(1)求a,b的值;

(2)若对任意的,不等式恒成立,求k的取值范围.

解  (1) 因为是R上的奇函数,所以

从而有 又由,解得

(2)解法一:由(1)知

由上式易知在R上为减函数,又因是奇函数,从而不等式

等价于

是R上的减函数,由上式推得

即对一切从而

解法二:由(1)知

又由题设条件得

整理得,因底数2>1,故

上式对一切均成立,从而判别式

试题详情

9.(江西南昌新民外语学校09届高三第一次月考)函数的定义域

     

答案     

试题详情


同步练习册答案