0  314164  314172  314178  314182  314188  314190  314194  314200  314202  314208  314214  314218  314220  314224  314230  314232  314238  314242  314244  314248  314250  314254  314256  314258  314259  314260  314262  314263  314264  314266  314268  314272  314274  314278  314280  314284  314290  314292  314298  314302  314304  314308  314314  314320  314322  314328  314332  314334  314340  314344  314350  314358  447090 

4.水溶性染色剂PI能与核酸结合而使细胞核着色。细胞浸泡于一定浓度的PI中,仅有死亡细胞的核会被染色,活细胞则不着色;但将PI注射到活细胞中,则细胞核会着色。产生上述现象的原因是      

   A.死细胞与活细胞的核酸结构不同   B.死细胞与活细胞的核酸含量不同

C.活细胞能分解PI        D.活细胞的细胞膜阻止PI进入

试题详情

3.下列关于实验过程的描述,正确的一组是                

    ①解离的目的是使细胞重叠

    ②漂洗的目的是为了洗去根尖上的盐酸,避免与碱性染料发生中和反应

    ③用龙胆紫溶液是为了将染色体染成紫色

    ④压片可将根尖细胞压成单层,使之不相互重叠

    ⑤当看到一个中期细胞时,要注意观察它如何进入后期、末期

    A.①④⑤        B.②③④        C.③④⑤        D.①②③

试题详情

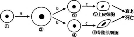
2.下图为人体细胞的分裂、分化、衰老和死亡过程的示意图,图中①-⑥为各个时期的细胞,a-c表示细胞所进行的生理过程。据图分析,下列叙述正确的是  

A.与①相比,②的表面积与体积的比值增大,与外界环境进行物质交换的能力增强

   B.⑤与⑥的基因型相同,蛋白质的种类也相同

   C.若⑤⑥已失去分裂能力,则其细胞内遗传信息的流动方向为DNA→RNA→蛋白质

   D.细胞的衰老与死亡就会引起人体的衰老与死亡

试题详情

1.右图表示某生物膜结构,图中A、B、C、D、E、F表示某些物质,a、b、c、d表示物质跨膜运输方式。下列说法正确的是

A.若是根毛细胞的细胞膜,通过中耕松土可促进B物质的吸收

B.若是线粒体膜,b和c过程运输的气体分别是O2 、CO2

C. 若是肝细胞膜,进食后3-4小时,C代表的激素胰岛素将会增多

D.动物细胞吸水膨胀时B的厚度变小,这说明B具有选择透过性

试题详情

27.(6分)结合图(图12)文材料,完成下列要求。

       2009年12月15日,世界最长跨海大桥工程--港珠澳大桥开工仪式在广东省珠海市举行。港珠澳大桥工程集路、桥、岛、隧为一体,大桥全长49.968千米,竣工后将形成一个单Y形状的海上经济“动脉”。

  (1)该工程,建设隧道并保证合理的桥梁高度。简要说明此项设计要求主要是出于何种考虑?(2分)

  (2)结合图示地区的地理环境,例举有可能造成大桥施工困难的两项自然障碍。(4分)

试题详情

25.(12分)读图10(某国家玉米产区、地形、年降水量分布及该国甲省区气候统计图),回答下列问题。

   

  (1)简要说明图示国家甲省区气候的成因,并指出乙省区主要的气候类型。(4分)

  (2)图示国家三面临海,分别指出该国家东、西海域洋流的流向与性质。(4分)

  (3)指出该国家玉米产区的地形类型,并简要说明玉米收获期气候的主要特点。(4分)

  26.(8分)图11显示的是2006年某国家城市(首都)中心至50千米范围内的地价分布,读图完成题目要求。

  (1)概述该城市住宅地价格分布的特点。(4分)

  (2)简要说明影响城市地价高低的主要因素。(4分)

试题详情

  23.(16分)结合图(图8)文资料,分析回答下列问题。

二十世纪60-80年代,随着人口急剧

增长,土地与资源需求膨胀,某国(图示国

家)政府开始实施大规模的公路建造、农场、

牧牛场、伐木、矿产开采计划,加快西部与

北部地区广大疆土的开发,实行人口均衡发

展政策,并把首都从沿海迁往内陆高原上,

1970年,该国政府又正式公布了北部大河

流大规模开发计划。1992年联合国环境与

发展大会在该国(M城市)召开。

根据《联合国气候变化框架公约》的定 

义,将“从大气中清除二氧化碳的过程、活

动和机制”称之为“碳汇”。

  (1)1960-1980年图示国家迁移到该国北部地区的人口数量约为     (填写一序号即可,2分)

     ①45万人   ②75万人   ③110万人

  (2)该国人密度最大地区分布在       ,M城市是          ,N城市是           。(6分)

  (3)该国北部地区的生态系统具有巨大的碳汇功能,请分析说明。(8分)

24.(14分)结合图文材料和所学知识,回答下列问题。

  气候学上通常以候平均温度(每5日的平均气温)作为季节的划分标准;侯温高于22℃的时期为夏季,低于10℃为冬季,介于二者之间的为春季和秋季。这样,各地的春夏秋冬四季,都有共同的温度标准。但是,同一地点,四季必然长短不一;不同地点,同一季节并非同时始终。而且,并非到处都有四季。

  (1)依图概述我国东部季风区各地入春日期的总体分特点。(4分)

  (2)简要说明甲地区入春日期早于同纬度东部地区的主要原因。(6分)

  (3)按候温划分季节,图中乙区和丙区具有特殊性。请用确切的词语分别描述乙区和丙区一年中的季节。(4分)

试题详情

下表反映了我国某省级行政单位2006、2007年农作物种植面积(单位:万亩)变化情况,读后回答21-22题。

 
水稻
小麦
玉米
薯类
高梁
豆类
2006年
3088
374
4386
493
111
6405
2007年
3261
406
4635
536
111
6002

21.与2006年相比,2007年                                                       (   )

     A.水稻种植面积增加量多于玉米         B.高梁的种植面积缩减为零

     C.经济作物豆类增加了403万亩         D.各类作物种植总面积增加了94万亩

22.该省区最可能是                                                                (   )

     A.广东             B.黑龙江           C.青海             D.陕西

第Ⅱ卷(综合题,共56分)

试题详情

港珠澳大桥工程于2009年12月15日开工。大桥全长49.968公里,将按六车道高速公路标准建设,设计行车时速度每小时100公里。读后结合图7回答18-20题。

18.东西人工岛之间设计为隧道相连,遂道深度的确定,重点要考虑               (   )

     A.海洋生物         B.船舶航行         C.洋流因素         D.科技水平

19.大桥建设考虑的主要自然障碍有                                               (   )

     ①海底地形和地质条件                   ②海浪和潮流

     ③台风和海啸                             ④岛屿大小和位置

     A.①②             B.②③             C.③④             D.①④

20.影响港珠澳大桥工程建设的最主要因素是                                      (   )

     A.自然因素         B.经济因素         C.人口因素         D.技术因素

试题详情

读某区域降水量分布示意图6,回答15-17题。

15.对四处降水的解释符合实际的是                                               (   )

     A.甲处受山脉影响,降水较多           B.乙处因环流作用,东西差异大

     C.丙处西北风控制,降水少             D.丁处有台风活动,降水较多

16.图示区域降水最主要的水汽来源为                                             (   )

     A.大西洋           B.北冰洋           C.太平洋           D.印度洋

17.图中60°N线通过的气候区面积最大的是                                      (   )

     A.温带海洋性气候                       B.温带沙漠气候

     C.亚寒带针叶林气候                    D.寒带苔原气候

 

试题详情


同步练习册答案