0  317213  317221  317227  317231  317237  317239  317243  317249  317251  317257  317263  317267  317269  317273  317279  317281  317287  317291  317293  317297  317299  317303  317305  317307  317308  317309  317311  317312  317313  317315  317317  317321  317323  317327  317329  317333  317339  317341  317347  317351  317353  317357  317363  317369  317371  317377  317381  317383  317389  317393  317399  317407  447090 

9.张强同学向图书馆借阅《红楼梦》《苏州府志》《天工天物》三本书,计划写一篇小论文。下列选项最有可能成为这篇论文主题的是                        (   )

    A.唐代苏州的风俗                 B.元代的海外贸易

    C.明清江南的手工业               D.晚清的文学创作

试题详情

8.下列各组史实中,能够体现中央政府尊重少数民族文化、“因俗而治”的是    (   )

①唐朝在东突厥故地设立都督府        ②明朝在西南实施“改土归流”

③明朝在西藏建立僧官制度           ④清康熙皇帝平定“三藩之乱”

    A.①③          B.②④          C.①③④        D.②③④

试题详情

7.农历七月初七是中国传统的“乞巧节”(学习纺织工艺的节日)。它起源于我国古代“牛郎织女”的美丽传说。导致这一节日形成的根本原因是                               (   )

    A.古代人民对美好爱情的向往        B.人们对神话传说的钟爱

    C.自然经济长期占据主导地位        D.人们对牛郎织女遭遇的同情

试题详情

6.北宋沈括在《梦溪笔谈》中写道:“若止印三二张,未为简

易;若印数十百千本,是极为神速”。这主要得益于(   )

    A.造纸术的重大改进               B.雕版印刷技术的推广

    C.活字印刷术的发明               D.文化市场的迅速扩大

试题详情

4.美国学者伊佩霞指出:“20世纪前中国历史上任何其他时代相比(除了20世纪),初唐和中唐时的中国人自信心最强,最愿意接受不同的新鲜事物。……这个时期的中国人非常愿意向世界敞开自己,希望得到其他国家优秀的东西。”可印证该观点的史实不包括

                                                                (   )

    A.玄奘西游                      B.鉴真东渡

    C.“新罗坊”的开设                D.波斯织法与图案风格的采用

  5.右图中的长安、洛阳、扬州、成都、广州、泉州、明州、登

州被称为唐代八大城市。由此可以获取的正确历史信息有

                                       (   )

    A.以工商业著称的市镇蓬勃兴起

    B.扬州和成成为超越两都的政治经济中心

    C.经济中心不再是政治中心

    D.开放的对外政策使沿海港口城市走向兴盛

试题详情

3.封建社会的污染充分体现了地主阶级的意志,下列有关我国古代法律制度的说法,不正确的是                           (   )

    A.秦律对后世封建律令的制订具有很大影响

    B.唐朝以明确的法律条文确定了三省六部制度

    C.北宋将死刑复核权力由地方收归中央

    D.《大明律》采用“重其重罪,轻其轻罪”的量刑原则

试题详情

2.西汉武帝时期,某人父亲与他人斗殴,其子帮忙用木棍去打人,不料却误伤其父。按照当时法律,殴伤父亲是应处枭首的死罪。廷尉张汤请教董促舒应如何处理。董促舒认为:父子是最亲近的,听说父亲与人斗殴,儿子自然紧张,要拿木棍去救护父亲,至于误中父亲并非本意,应该无罪释放。该段材料反映了西汉      (   )

    A.严刑峻法的现象有所改变          B.执法过程开始渗透儒家伦理思想

    C.儒学开始取得独尊地位            D.统治者强调和谐的统治理念

试题详情

1.下列关于西周分封制的表述,不正确的是                              (   )

    A.其实行的前题是王权强大         

    B.其存在的根本基础是井田制

    C.赵、魏、韩是西周分封形成的诸侯国

    D.开拓了西周的疆域

试题详情

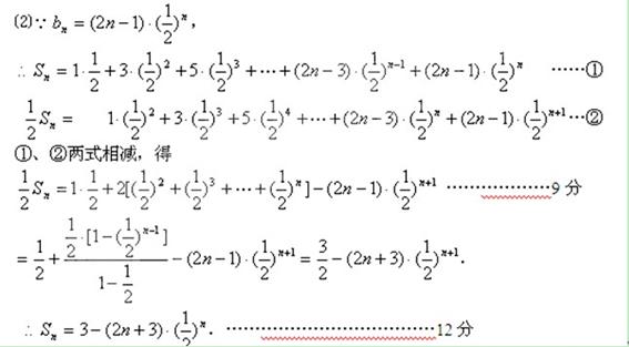
20. 解析:(1)椭圆相似.

因为的特征三角形是腰长为4,底边长为的等腰三角形,而椭圆的特征三角形是腰长为2,底边长为的等腰三角形,因此两个等腰三角形相似,且相似比为 ………………………………………… 4分

(2)椭圆的方程为:.……………………………………5分

两个相似椭圆之间的性质有: ……………………………………写出一个给1分

①两个相似椭圆的面积之比为相似比的平方;

②分别以两个相似椭圆的顶点为顶点的四边形也相似,相似比即为椭圆的相似比;

③两个相似椭圆被同一条直线所截得的线段中点重合;

过原点的直线截相似椭圆所得线段长度之比恰为椭圆的相似比. ……………8分

(3)假定存在,则设所在直线为中点为.

.…………………………10分

所以.

中点在直线上,所以有.………………………………11分

;…………………………………………………11分

③当,即时,在[1,2]上是增函数,

.………………………………………………13分

综上所述,当时,;当时,;当a>2时,。…………………14分

试题详情

17. 解析:⑴由知圆心C的坐标为

∵圆C关于直线对称

∴点在直线上 

即D+E=-2,①………………………………………………2分

   ②……………………………………4分

又∵圆心C在第二象限  ∴  由①②解得D=2,E=-4  

∴所求圆C的方程为: ……………………6分

切线在两坐标轴上的截距相等且不为零,设 ………………8分

圆C:

圆心C(-1,2)到切线的距离等于半径,即 ……10分 

。         

故所求切线方程 …………………12分

即异面直线BD和CE所成角的余弦值为。……………5分

⑵在CC1上取中点Q,连续PQ、BQ,在正方形BCC1B1中,

∵E也是B1C1的中点,∴BQ⊥EC,………7分

由正方体知,PQ⊥QB,且BQ与PQ相交于点Q,

∴EC⊥平面PBQ,

即PB⊥EC,………………………………9分

由正方体性质,容易证明PB⊥AC,………………………………11分

又AC与BD相交于点O,∴PB⊥平面AEC…………………………12分

(利用空间向量求解第②题请酌情给分)

试题详情


同步练习册答案