0  332840  332848  332854  332858  332864  332866  332870  332876  332878  332884  332890  332894  332896  332900  332906  332908  332914  332918  332920  332924  332926  332930  332932  332934  332935  332936  332938  332939  332940  332942  332944  332948  332950  332954  332956  332960  332966  332968  332974  332978  332980  332984  332990  332996  332998  333004  333008  333010  333016  333020  333026  333034  447090 

6.函数是                  (   )

   A.周期为的偶函数                 B.周期为的非奇非偶函数 

C.周期为的偶函数                 D.周期为的非奇非偶函数

试题详情

5.设,若的必要而不充分条件,则实数的取值范围是                             (   )

 A.    B.     C.    D.

试题详情

4.已知集合,则

                                (   )

A.    B.      C.    D.

试题详情

3.一篮球运动员投篮命中的概率是,他连续投篮次,则恰有次命中的概率是(   )

A.      B.        C.        D.

试题详情

2.若,则下列不等式中不一定成立的是               (   )

  A.    B.  C.    D.∣∣>

试题详情

1.已知向量与向量,则向量的夹角是              (   )

   A.           B.             C.           D.

试题详情

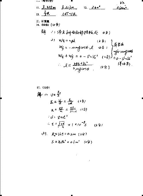
17.(附加题10分)如图所示,在铅板A上有一个放射源可向各个方向射出速率射线,B为金属网,A、B连接在电路上,电源电动势阻不计,滑动变阻器最大阻值,图中滑动变阻器滑片置于中点,A、B间距为荧光屏(足够大),它紧挨着金属网外侧,已知粒子的比荷不计射线所形成的电流对电路的影响,结果取一位有效数字,求:

(1) 粒子到达金属网B的最长时间?

(2)若铅板A和金属网B范围足够大,则在金属网B上能观察到荧光屏亮斑的面积。

试题详情

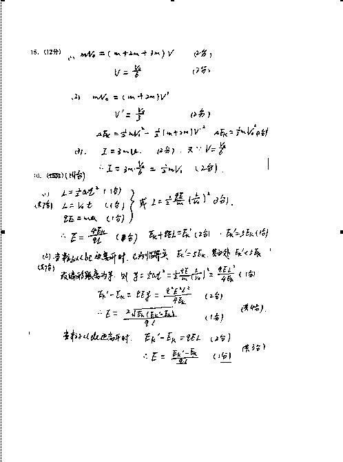
16.(14分)如图所示,边长为L的正方形区域abcd内存在着匀强电场.电荷量为q、动能为EK的带电粒子从a点沿ab方向进人电场,不计重力。

(1)若粒子从c点离开电场,求电场强度的大小和粒子离开电场时的动能。

(2)若粒子离开电场时动能为EK′,则电场强度为多大?

试题详情

h
 
14.(10分)质量为m的滑块与倾角为θ的斜面间的动摩擦因数为μ,μ<tanθ,斜面底端有一个和斜面垂直放置的弹性挡板,滑块滑到底端与它碰撞时没有机械能损失,如图所示.若滑块从斜面上高为h处以速度v开始沿斜面下滑,设斜面足够长,求:

(1)滑块最终停在何处?

(2)滑块在斜面上滑行的总路程是多少?

15.(12分)如图所示,在光滑水平面上放着A、B、C三个物块,A、B、C的质量依次是m、2m、3m.现让A物块以初速度v0向B运动,A、B相碰后不再分开,共同向C运动;它们和C相碰后也不再分开,ABC共同向右运动求:

(1)ABC共同向右运动的速度的大小v

(2)A、B碰撞过程中的动能损失ΔEK

(3)A、B与C碰撞过程B物体对C物体的冲量大小I

试题详情

13.如图所示,固定在竖直平面内的光滑圆轨道ABCD的半径为R,其A点与圆心等高,D点为最高点,DB为竖直线,AC为水平面,今使质量为m小球自A点正上方某处由静止释放,且从A处进入圆轨道运动,只要适当调节释放点的高度,总能保证小球最终恰好通过最高点D(不计空气阻力的影响,当地的重力加速度为g).则小球释放点的高度

h=       通过D点后小球运动至与A等高时距离A点         

试题详情


同步练习册答案