0  333567  333575  333581  333585  333591  333593  333597  333603  333605  333611  333617  333621  333623  333627  333633  333635  333641  333645  333647  333651  333653  333657  333659  333661  333662  333663  333665  333666  333667  333669  333671  333675  333677  333681  333683  333687  333693  333695  333701  333705  333707  333711  333717  333723  333725  333731  333735  333737  333743  333747  333753  333761  447090 

17.(本小题满分lO分)

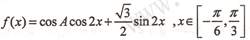
   在△ABC中,a,b,c分别是角A,B,C的对边,A为锐角,已知向量

 

  (I)求角的大小。

  (II)求函数的最大值

试题详情

16.已知某河流的一段西岸边是直线段,东岸边是曲线段,如图,在河岸东部有两地,其中地距西岸边地在地的北偏东30°方向2处,河流的东岸边(曲线)上任意一点到A地的距离等于到河西岸边的距离.现要在河东岸曲线上选一处

M建一座码头,向两地转运货物.经测算,从M到修建公路的费

用分别是a万元∕km,那么修建这两条公路的总费用最低是_______万元

            

试题详情

15.在半径为R的球面上有不同的三点A、B、C,已知A、B、C三点中任意两点的球

面距离均为.O为球心,则三棱锥O一ABC的体积为_______

试题详情

14.学校为研究男女同学数学学习的差异情况,对某班50名同学(其中男同学30名,女同学20名)采取分层抽样的方法,抽取一个样本容量为10的样本进行研究,女同学甲被抽到的概率为_______

试题详情

13。的展开式中含项的系数等于28,则n=______

试题详情

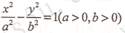
12.已经点P(-3,1)在双曲线的左准线上,过点P且方向向量为

的光线,经直线y=-2反射后通过双曲线的左焦点,则该双曲线的离心率

A.  B.  C.  D.

第Ⅱ卷(非选择题,共90分)

试题详情

11.设二元一次不等式组所表示的平面区域为M.若曲线总经过区域M,则实数a的取值范围是

A.   B.

C.    D.

试题详情

10.己知奇函数为减函数,且,则不等式

  解集为

A.

B.

C.

D.

试题详情

9.  若函数对任意实数X都有

A. -3      B. 0      C. 3     D. ±3

试题详情

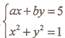
8.把一枚骰子投掷两次,第一次出现的点数记为a,第二次出现的点数记为b.设事件A

  “方程组只有一组解”,则事件A发生的概率等于

  A.   B.   c.   D.

试题详情


同步练习册答案