0  336537  336545  336551  336555  336561  336563  336567  336573  336575  336581  336587  336591  336593  336597  336603  336605  336611  336615  336617  336621  336623  336627  336629  336631  336632  336633  336635  336636  336637  336639  336641  336645  336647  336651  336653  336657  336663  336665  336671  336675  336677  336681  336687  336693  336695  336701  336705  336707  336713  336717  336723  336731  447090 

2.电磁波

变化的电场和磁场从产生的区域由近及远地向周围空间传播开去,就形成了电磁波。有效地发射电磁波的条件是:

⑴频率足够高(单位时间内辐射出的能量Pf 4);

⑵形成开放电路(把电场和磁场分散到尽可能大的空间离里去)。

电磁波是横波。EB的方向彼此垂直,而且都跟波的传播方向垂直,因此电磁波是横波。电磁波的传播不需要靠别的物质作介质,在真空中也能传播。在真空中的波速为c=3.0×108m/s。

试题详情

目的要求

复习电磁场和电磁波的基础知识。

知识要点

1.电磁场

⑴要深刻理解和应用麦克斯韦电磁场理论的两大支柱:变化的磁场产生电场,变化的电场产生磁场。

可以证明:振荡电场产生同频率的振荡磁场;振荡磁场产生同频率的振荡电场。

⑵按照麦克斯韦的电磁场理论,变化的电场和磁场总是相互联系的,形成一个不可分离的统一的场,这就是电磁场。电场和磁场只是这个统一的电磁场的两种具体表现。

试题详情

5.远距离输电

   一定要画出远距离输电的示意图来,包括发电机、两台变压器、输电线等效电阻和负载电阻。并按照规范在图中标出相应的物理量符号。一般设两个变压器的初、次级线圈的匝数分别为、n1n1/ n2n2/,相应的电压、电流、功率也应该采用相应的符号来表示。从图中应该看出

功率之间的关系是:P1=P1/P2=P2/P1/=Pr=P2

电压之间的关系是:

电流之间的关系是:

可见其中电流之间的关系最简单,中只要知道一个,另两个总和它相等。因此求输电线上的电流往往是这类问题的突破口

输电线上的功率损失和电压损失也是需要特别注意的。分析和计算时都必须用,而不能用

   特别重要的是要会分析输电线上的功率损失,由此得出的结论:

⑴减少输电线功率损失的途径是提高输电电压或增大输电导线的横截面积。两者相比,当然选择前者。

⑵若输电线功率损失已经确定,那么升高输电电压能减小输电线截面积,从而节约大量金属材料和架设电线所需的钢材和水泥,还能少占用土地。

例题分析

例1:交流发电机的转子由B∥S的位置开始匀速转动,与它并联的电压表的示数为14.1V,那么当线圈转过30°时交流电压的瞬时值为__V。

解:电压表的示数为交流电压的有效值,由此可知最大值为Um=U=20V。而转过30°时刻的瞬时值为u=Umcos30°=17.3V。

例2:通过某电阻的周期性交变电流的图象如右。求该交流电的有效值I

解:该交流周期为T=0.3s,前t1=0.2s为恒定电流I1=3A,后t2=0.1s为恒定电流I2= -6A,因此这一个周期内电流做的功可以求出来,根据有效值的定义,设有效值为I,根据定义有:

I 2RT=I12Rt1+ I22Rt2  带入数据计算得:I=3A

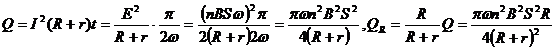
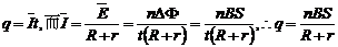
例3:交流发电机转子有n匝线圈,每匝线圈所围面积为S,匀强磁场的磁感应强度为B,匀速转动的角速度为ω,线圈内电阻为r,外电路电阻为R。当线圈由图中实线位置匀速转动90°到达虚线位置过程中,求:⑴通过R的电荷量q为多少?⑵R上产生电热QR为多少?⑶外力做的功W为多少?

解:⑴按照电流的定义I=q/t,计算电荷量q应该用电流的平均值:即,这里电流和电动势都必须要用平均值,不能用有效值、最大值或瞬时值。

⑵求电热应该用有效值,先求总电热Q,再按照内外电阻之比求R上产生的电热QR。这里的电流必须要用有效值,不能用平均值、最大值或瞬时值。

⑶根据能量守恒,外力做功的过程是机械能向电能转化的过程,电流通过电阻,又将电能转化为内能,即放出电热。因此W=Q 。一定要学会用能量转化和守恒定律来分析功和能。

例4:左图所示是某种型号的电热毯的电路图,电热毯接在交变电源上,通过装置P使加在电热丝上的电压的波形如右图所示。此时接在电热丝两端的交流电压表的读数为 

     A.110V

    B.156V

    C.220V    D.311V

解:从u-t图象看出,每个周期的前半周期是正弦图形,其有效值为220V;后半周期电压为零。根据有效值的定义, ,得U=156V,选B。

例5:理想变压器初级线圈和两个次级线圈的匝数分别为n1=1760匝、n2=288匝、n3=8000匝,电源电压为U1=220V。n2上连接的灯泡的实际功率为36W,测得初级线圈的电流为I1=0.3A,求通过n3的负载R的电流I3

解:由于两个次级线圈都在工作,所以不能用I∝1/n,而应该用P1=P2+P3Un。由Un可求得U2=36V,U3=1000V;由U1I1=U2I2+U3I3I2=1A可得I3=0.03A。

例6:在变电站里,经常要用交流电表去监测电网上的强电流,所用的器材叫电流互感器。如下所示的四个图中,能正确反应其工作原理的是 

 

    A.        B.        C.       D.

解:电流互感器要把大电流变为小电流,因此原线圈的匝数少,副线圈的匝数多。监测每相的电流必须将原线圈串联在火线中。选A。

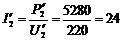
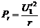
例7:学校有一台应急备用发电机,内阻为r=1Ω,升压变压器匝数比为1∶4,降压变压器的匝数比为4∶1,输电线的总电阻为R=4Ω,全校22个教室,每个教室用“220V,40W”的灯6盏,要求所有灯都正常发光,则:⑴发电机的输出功率多大?⑵发电机的电动势多大?⑶输电线上损耗的电功率多大?

解:⑴所有灯都正常工作的总功率为22×6×40=5280W,用电器总电流为A,输电线上的电流A,降压变压器上:U2=4U2/=880V,输电线上的电压损失为:Ur=IRR=24V ,因此升压变压器的输出电压为U1/=UR+U2=904V,输入电压为U1=U1//4=226V,输入电流为I1=4I1/=24A,所以发电机输出功率为P=U1I1=5424W

   ⑵发电机的电动势E=U1+I1r=250V

   ⑶输电线上损耗的电功率PR=IR2R=144W

例8:在远距离输电时,要考虑尽量减少输电线上的功率损失。有一个坑口电站,输送的电功率为P=500kW,当使用U=5kV的电压输电时,测得安装在输电线路起点和终点处的两只电度表一昼夜示数相差4800度。求:⑴这时的输电效率η和输电线的总电阻r。⑵若想使输电效率提高到98%,又不改变输电线,那么电站应使用多高的电压向外输电?

解;⑴由于输送功率为P=500kW,一昼夜输送电能E=Pt=12000度,终点得到的电能E /=7200度,因此效率η=60%。输电线上的电流可由I=P/U计算,为I=100A,而输电线损耗功率可由Pr=I 2r计算,其中Pr=4800/24=200kW,因此可求得r=20Ω。

⑵输电线上损耗功率,原来Pr=200kW,现在要求Pr/=10kW ,计算可得输电电压应调节为U  / =22.4kV。

试题详情

4.理想变压器

理想变压器的两个基本公式是:

,即对同一变压器的任意两个线圈,都有电压和匝数成正比。

P=P,即无论有几个副线圈在工作,变压器的输入功率总等于所有输出功率之和。

   需要特别引起注意的是:

   ⑴只有当变压器只有一个副线圈工作时,才有:

   ⑵变压器的输入功率由输出功率决定,往往用到:,即在输入电压确定以后,输入功率和原线圈电压与副线圈匝数的平方成正比,与原线圈匝数的平方成反比,与副线圈电路的电阻值成反比。式中的R表示负载电阻的阻值,而不是“负载”。“负载”表示副线圈所接的用电器的实际功率。实际上,R越大,负载越小;R越小,负载越大。这一点在审题时要特别注意。

试题详情

3.正弦交变电流的最大值、有效值、瞬时值和平均值

正弦交变电流的电动势、电压和电流都有最大值、有效值、瞬时值和平均值的区别。以电动势为例:最大值用Em表示,有效值用E表示,瞬时值用e表示,平均值用表示。它们的关系为:E=Em/e=Emsinωt。平均值不常用,必要时要用法拉第电磁感应定律直接求:。特别要注意,有效值和平均值是不同的两个物理量,千万不可混淆。

生活中用的市电电压为220V,其最大值为220V=311V(有时写为310V),频率为50HZ,所以其电压即时值的表达式为u=311sin314tV。

试题详情

2.交变电流的有效值

交变电流的有效值是根据电流的热效应规定的:让交流和直流通过相同阻值的电阻,如果它们在相同的时间内产生的热量相等,就把这一直流的数值叫做这一交流的有效值。

⑴只有正弦交变电流的有效值才一定是最大值的/2倍。

⑵通常所说的交变电流的电流、电压;交流电表的读数;交流电器的额定电压、额定电流;保险丝的熔断电流等都指有效值。(电容器的耐压值是交流的最大值。)

试题详情

目的要求

复习交流电的基本知识及变压器原理。

知识要点

1. 正弦交变电流的产生

当闭合线圈由中性面位置(图中O1O2位置)开始在匀强磁场中匀速转动时,线圈中产生的感应电动势随时间而变的函数是正弦函数:e=Emsinωt,其中Em=nBSω。这就是正弦交变电流。

试题详情

§5.交变电流 电磁场和电磁波

试题详情

§5.交变电流 电磁场和电磁波

试题详情

22.(本小题满分12分)

已知函数,其中为常数.

(1)当时,恒成立,求的取值范围;

(2)求的单调区间.

试题详情


同步练习册答案