0  336954  336962  336968  336972  336978  336980  336984  336990  336992  336998  337004  337008  337010  337014  337020  337022  337028  337032  337034  337038  337040  337044  337046  337048  337049  337050  337052  337053  337054  337056  337058  337062  337064  337068  337070  337074  337080  337082  337088  337092  337094  337098  337104  337110  337112  337118  337122  337124  337130  337134  337140  337148  447090 

9.如图所示,a、b、c均为石墨电极,d为碳钢电极,通电进行电解。假设在电解过程中产生的气体全部逸出,下列说法正确的是

A.甲、乙两烧杯中溶液的pH均升高

B.当b极增重5.4g时,d极产生的气体为2.24L(标准状况)

C.当电解一段时间后,将甲、乙两溶液混合,一定会生成沉淀

D.乙烧杯中c的电极反应式为

试题详情

8.用NA表示阿伏加德罗常数的值,下列说法正确的是

  A.在标准状况下,11.2L NO与11.2L O2混合后所含分子数目为0.75NA

  B.含有共价键数为NA的金刚石晶体的质量为3g

  C.28g乙烯、丙烯、丙炔的混合气体中碳原子数大于2NA

  D.在0.1mol蓝矾晶体和1L 0.1moL·LAlCl3溶液中,金属阳离子总数均小于0.1NA

试题详情

7.下列离子施工书写正确的是

  A.向稀溶液中加入醋酸:

  B.用铁作电极电解饱和食盐水:

  C.溴乙烷中滴入AgNO3溶液检验其中的溴元素:

  D.向明矾溶液中逐滴加入氢氧化钡溶液至沉淀质量最大:

     

试题详情

6.化学是一门实用的中心学科,生活中的许多问题常涉及到化学。下列有关化学知识叙述

正确的是

A.制作航天服的聚酯纤维和用于光缆通信的光导纤维都是新型有机高分子材料,糖类、

蛋白质、氨基酸、纤维素都是天然高分子化合物

B.化工生产:氯碱工业、硫酸工业、普通玻璃工业、合成氨工业过程中均涉及氧化还

原反应

C.次氯酸和臭氧都是强氧化剂,都能杀死水中的细菌。自来水常用氯气来杀菌消毒,

是因为氯气杀菌消毒效果要比臭氧好,且不会残留有毒、有害的物质

D.夏天到了,游客常佩戴添加了溴化银(或氯化银)和微量氧化铜的玻璃制作的变色

眼镜来保护眼睛

试题详情

34.(7分)萌发的禾谷类种子中淀粉酶的含量显著增高,主要有α-淀粉酶和β-淀粉酶。α-淀粉酶不耐酸、较耐热,在pH为3.6、0℃下可迅速失活,而β-淀粉酶耐酸、不耐热,在70℃条件下15min后失活。根据它们的这种特性,可分别测定一种酶的催化效率。某实验小组进行了“提取小麦种子中α-淀粉酶并测定α-淀粉酶催化淀粉水解的最适温度”等相关实验。

实验材料:萌发3天的小麦种子(芽长约1cm)。

主要试剂及仪器:1mg/mL的标准麦芽糖溶液、5%的可溶性淀粉溶液、碘液、蒸馏水、石英砂、恒温水浴锅等。

实验步骤:

步骤一:制备酶溶液。

 

步骤二:略。

步骤三:取 6支干净的、体积相同并具刻度的试管依次编号,按下表要求加入试剂,再观察各试管内的颜色变化(注:+表示碘液变蓝色,-表示碘液不变色)。

试管编号
1
2
3
4
5
6
5%的可溶性淀粉溶液(mL)
8
8
8
8
8
8
恒温水浴5min(℃)
0
20
40
60
80
100
α-淀粉酶保持活性而β-淀粉酶失去活性的溶液 (mL)
1
1
1
1
1
1
恒温水浴5min(℃)
0
20
40
60
80
100
溶液混合,振荡后恒温水浴5min(℃)
0
20
40
60
80
100
加入碘液,振荡后观察颜色变化
+++
++
+
-
++
+++

请回答下列问题:

(1)资料表明:小麦种子发芽时,胚产生赤霉素,赤霉素扩散到糊粉层,诱导淀粉酶的合成。赤霉素诱导淀粉酶合成的主要机理是    ▲    。选用萌发的小麦种子提取酶液的主要理由是    ▲  

(2)步骤二的具体操作是               ▲                  

(3)加入碘液,振荡后观察颜色变化,发现试管4中碘液不变色,能否据此推断α-淀粉酶的最适合温度一定是60℃?   ▲  。理由是           ▲            。该实验中不能选用斐林试剂检测实验结果的主要原因是     ▲       

(4)若要进一步研究小麦种子中β-淀粉酶的最适温度,则需获得β-淀粉酶保持活性而α-淀粉酶失活的酶溶液。请简要写出制备该种酶溶液的方法:

          ▲         

试题详情

33.(7分)基因敲除是根据DNA重组原理发展起来的一门新兴技术。通常用设计好的DNA片段替代动物细胞内的基因片段,从而达到基因敲除的目的。运用基因敲除技术构建基因敲除动物模型是研究基因功能中较为普遍的一种方法,其基本原理如下图所示。

 

请回答下列问题:

(1)在将目的基因导入受体细胞前,需要构建一个基因表达载体。一个理想的基因表达载体,通常由启动子、终止子、目的基因和   ▲   等四部分组成。在此过程中,所需使用的相关工具酶是     ▲     

(2)如果要获得一只含目的基因的小鼠,则选择的受体细胞通常为    ▲    ,基因导入该细胞时,可以采用     ▲     等方法。

(3)上述途径所获得的动物,其后代并非每一个个体都含目的基因,原因是  ▲  

(4)假设通过基因敲除构建了一个非球形红细胞性贫血(Ⅱ型)模型动物,该动物因丙酮酸激酶缺陷或葡萄糖-6-磷酸脱氢酶(G-6-PD)缺陷,使红细胞膜变化引起红细胞自溶现象,但若向该动物注射ATP后,自溶现象可明显降低。由此可表明,基因对生物性状的控制方式之一是:     ▲    

(5)某实验小组向正常小鼠胚胎细胞内导入某“X基因”后,发现靶基因能正常转录

形成mRNA,但细胞内却不再合成相应蛋白质,其原因最可能是    ▲  

试题详情

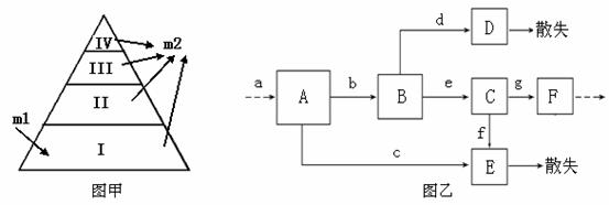
32.(8分)下图甲为某湖泊生态系统的能量金字塔简图,其中I、Ⅱ、Ⅲ、Ⅳ分别代表不同的营养级,m1、m2代表不同的能量形式。图乙表示能量流经该生态系统某一营养级的变化示意图,其中a-g表示能量值的多少。请据图作答:

(1)图甲中,m1、m2表示的能量形式分别为    ▲        ▲    。通常情况下,位于营养级Ⅳ的生物个体数量一般远远少于Ⅲ,主要原因是

     ▲    

(2)图乙中,若A表示图1中营养级II所摄入的全部能量,则B表示    ▲    ,C表示    ▲     。若图甲中营养级I所固定的太阳能总量为y,由营养级I、Ⅱ间的能量传递效率是   ▲    (用图中所给字母的表达式表示)。

(3)由图乙可以总结出生态系统能量流动的主要特点是     ▲      

(4)若图甲中营养级Ⅰ、Ⅱ、Ⅲ各有一种生物甲、乙、

丙,构成食物关系如右下图。其中,甲能量中比

例为x的部分直接提供给丙,则要使丙能量增加

AkJ,至少需要消耗甲的能量    ▲    kJ(用

所给字母的表达式表示)。

试题详情

31.(7分)生长素(IAA)是植物体内一种重要激素。请回答下列问题:

(1)为了研究单侧光对生长素分布的影响,某兴趣小组进行了如下图所示实验。该实验中,A与B之间对照表明了   ▲  ;A与C、B与D之间对照表明了    ▲  ;C与D之间对照表明了       ▲       

(2)不同浓度的生长素对胚芽鞘生长的影响不同。为了验证上述假设,某同学以萌发的玉米种子、空白琼脂块、浓度为1 mol·L-1的标准IAA溶液、蒸馏水、刀片、刻度尺(或量角器)等为实验材料,进行了相关实验。请补充完成实验步骤:

①取1 mol·L-1的标准IAA溶液和蒸馏水,配制获得浓度梯度为10-8、10-7、10-6、10-5、10-4、10-3、10-2 mol·L-1的IAA溶液,          ▲        

              ▲                    

              ▲                    

(3)植物组织培养过程中,培养基中的不同种类激素的比例对诱导细胞脱分化和再分化具有重要的调节作用。当分化培养基中    ▲    的比例偏低时,有利于愈伤组织分化形成根。

试题详情

30.(7分)为研究高等动物的神经调节,科学家进行相关实验。请回答下列有关问题:

(1)在蛙的坐骨神经表面放置两个电极,连接到一个电表上(电表指针偏转方向代表电流方向)。静息时,电表没有测出电位差(如下图中①所示)。若在图①所示神经右侧的相应位置给予一适当的刺激,则电流表指针偏转的顺序依次为B→

       ▲     

依据所观测到的电流表指针偏转情况,绘制出的电流变化情况曲线是下图中的

    ▲     

该实验表明:在一个神经元内,兴奋是以      ▲      的形式沿着神经纤维传导的。

(2)某反射弧结构完整,效应器为骨骼肌。科研人员用电极分别刺激传入神经和骨骼肌,同时用电流表分别记录传出神经的电流变化情况,则两次电流表的偏转情况依次为   ▲      ▲   

(3)某研究人员通过实验分离获得两个蛙的心脏:第一个蛙心带有完整神经,第二个蛙心通过手术剔除全部神经。将两个蛙心都装上蛙心插管,并充以少量“任氏液”。持续刺激第一个蛙心脏的神经几分钟,发现心跳加速;随即将其中的任氏液吸出并转移到第二个未被刺激的蛙心脏内,发现后者的跳动也加速了。实验中的“任氏液”相当于蛙体内的       ▲        (填成分名称),以维持蛙心正常的生理功能。根据该实验,可以作出的推断为    ▲     

试题详情

29.(7分)产前诊断是优生学的主要措施之一,其中的羊水检查是针对孕妇进行的一种检查手段,主要检查羊水和羊水中胎儿脱落的细胞。检查项目包括细胞培养、染色体核型分析和羊水生化检查等,以确定胎儿成熟程度和健康状况,并诊断胎儿是否患有某些遗传病。下图甲是羊水检查的主要过程,图乙是某患者家系遗传系谱简图。请据图回答下列问题:

(1)在对获取的胎儿细胞进行悬浮培养过程中,需配制培养基(液)。合成培养基(液)中除了葡萄糖、氨基酸、无机盐、促生长因子、微量元素等营养物质外,往往还需添加一定量的    ▲   ,以保证细胞正常的分裂和生长。为了防止培养过程中的杂菌污染,还需向培养液中添加一定量    ▲    。若需检测胎儿是否患有21三体综合征,最好选用     ▲     期的细胞在显微镜下观察、鉴别。

(2)某次羊水检查中发现一男性胎儿(上图乙中的III-10)表现正常,但调查却发现其姐姐(上图乙中的III-9)患有某种遗传病(用A、a表示)。请根据图乙,分析并回答下列问题:

①该遗传病的遗传方式是                    

②若III-7与III-9婚配,则生一个患病女孩的概率为     ▲     

③若Ⅱ5再次怀孕后到医院进 

行遗传咨询,医生将该家系

中部分成员A、a基因所在

的DNA分子进行处理,经

电泳分离后结果如右图所

示。由电泳图谱分析可知,

该胎儿是否患该种遗传病?   ▲   。理由是     ▲     

试题详情


同步练习册答案