0  336963  336971  336977  336981  336987  336989  336993  336999  337001  337007  337013  337017  337019  337023  337029  337031  337037  337041  337043  337047  337049  337053  337055  337057  337058  337059  337061  337062  337063  337065  337067  337071  337073  337077  337079  337083  337089  337091  337097  337101  337103  337107  337113  337119  337121  337127  337131  337133  337139  337143  337149  337157  447090 

9.根据图中信息可判断,甲区域   

     A.位于南半球,属于温带海洋性气候         B.位于北半球,属于地中海气候

     C.地势东高西低                              D.此时,城市P的夜长比城市

试题详情

8.依所示信息可知,该岛的人口密度约为

     A.728人/平方千米             B.650人/平方千米

     C.510人/平方千米             D.255人/平方千米

下图中K为昏线,图甲所示区域南北跨纬度不超过10°,图乙是甲图中城及其附近区域地图,读图回答第9~11题。

试题详情

7.对该岛农业生产构成严重威胁的自然灾害是

     A.寒潮           B.  飓风             C.春旱           D.火灾

试题详情

6.下列内容与该岛地理特点相符的是  

     A.铁路沿线多为荒漠景观           B.河道宽,水流缓

     C.城市多分布在沿海地区           D.地势西高东低

试题详情

5.关于乙地区的气候类型和成因,都正确的是

     A.热带草原气候,地势高

     B.热带雨林气候,赤道低气压带控制

     C.地中海气候,西风带和副热带高气压带交替控制

     D.热带沙漠气候,副热带高气压带控制

甲是一座约有280万人口分布的岛屿。结合所学知识并读图,完成6~8题。

试题详情

4.甲地形区的成因是

     A.流水侵蚀而形成的           B.板块碰撞褶皱隆起而形成的

     C.岩层断裂陷落而形成的      D.地下岩浆上升冷却而形成的

试题详情

3.根据图中等值线分析,造成甲处等值线弯曲的原因是   

     A.山岭           B.峡谷                C.温度           D.洋流

试题详情

2.该月份限制甲、乙、丙、丁四地农业发展的主要因素,

正确的是

     A.甲地--洪涝灾害

     B.乙地--干旱少雨

     C.丙地--水源不足

     D.丁地--光照不足

读图,图中等值线为地球自转线速度等值线,完成3~5题。

试题详情

1.  图①②③④四点中,属于夏威夷高压的是

A.①              B.②

C.③      D.④

试题详情

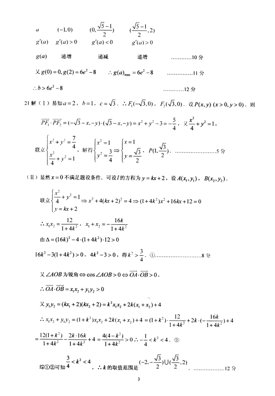
22.(14分)已知函数在区间内各有一个极值点。  

     (1)求的最大值;

     (II)当时,设函数在点处的切线,若在点A处穿过函数的图像(即动点在A附近沿曲线运动,经过点A时,从的一侧进入另一侧),求函数的表达式。

试题详情


同步练习册答案