0  336874  336882  336888  336892  336898  336900  336904  336910  336912  336918  336924  336928  336930  336934  336940  336942  336948  336952  336954  336958  336960  336964  336966  336968  336969  336970  336972  336973  336974  336976  336978  336982  336984  336988  336990  336994  337000  337002  337008  337012  337014  337018  337024  337030  337032  337038  337042  337044  337050  337054  337060  337068  447090 

11.以下事件发生在1950年的有(   )

①抗美援朝战争的开始   ②西藏和平解放  ③中央发动镇压反革命运动   ④土改的基本完成   ⑤全国物价暴涨的局面结束  ⑥国家财政经济根本好转

A.①②③⑤    B.①③⑤⑥    C.①③⑤     D.①②③④⑤⑥

试题详情

9.《共同纲领》在新中国历史上有重要地位,因为它(  )

A.确立了国家性质               B.确定了依法治国的方针

C.由全国人大选举产生的人民代表制定      D.规定了社会主义建设的总目标

试题详情

小浪底、三峡等等。据此回答7-8题。

7. 我国兴建大型水利工程,体现出我国国家职能是

A.政治职能

B.经济职能和社会公共服务的职能

C.正确处理人民内部矛盾,维护社会稳定的职能

D 文化职能

8.兴建大型水利工程的投资来源于

A.扩大再生产部分 B.非生产性基本建设   C.社会物资储备   D.公共消费部分

试题详情

   新中国成立60年来,特别是党的十一届三中全会以来,在中国共产党正确领导和全国人民大力支持下,民族区域自治地区的各族干部群众团结奋斗,艰苦创业,使民族区域自治地区的面貌发生了历史性变化。我国的民族区域自治地区,经济发展、社会进步、文化繁荣、民生改善、民族团结、政通人和,正处于历史上最好的发展时期。据此回答5-6题。

5.从政治常识角度看,上述材料表明(   )

①实行民族区域自治,有利于加强民族团结,实现各民族的共同繁荣  ②我国各民族已经实现了共同繁荣  ③我国各民族都应该实行民族区域自治  ④中国共产党的正确领导是加强民族团结和实现各民族共同繁荣的重要保证

  A.①②    B.③④     C.①④     D.②③

6.上述材料体现的唯物辩证法道理是   (   )

  A.正确的意识对事物的发展起促进作用 

 B.矛盾双方依据一定的条件,各向自己相反的方向转化 

C.要集中主要力量解决主要矛盾  

D.事物的发展是内因和外因共同起作用的结果

新中国成立60年来,我国的大型水利工程建设取得了一系列重大成就:葛洲坝、

试题详情

(一)选择题:(每题2分,共50分)

1.新中国成立之初,毛泽东同志曾指出:“在自然科学方面,我们要做独创的努力,并且要用外国的科学知识和方法整理中国的科学遗产,直到形成自己的学派。”这一论断对60年后的今天我们发展新兴经济仍然有重大意义。其主要启示是:(   )

A要善于引进,吸收创新         B要学习外国,大胆借鉴

C要立足国内,放眼未来         D要继承传统,形成特色

  建国60年来,我国社会经济的发展经历了农业经济、工业经济、信息经济时代,有专家说我国经济即将进入生物经济时代。回答2-4题:

2.继信息经济之后,各国都开始纷纷抢占生物经济这一战略高地,这是因为:(   )

A生物经济是国民经济的主导     B生物经济能提高人民生活水平

C生物经济有利于调整经济结构     D生物经济有利于增强综合国力

3.随着经济的发展,居民收入水平的提高,人们对生物技术产品有了更大的需求。这说明:(   )

A消费对生产有调节作用         B经济水平决定消费水平

C生产和消费互为因果         D没有生产就没有消费

4.目前我国的生命科学和生物技术还存在诸多问题,突出表现在缺乏创新创业型人才。因此,发展生物技术,国家应该:(   )

A加大财政投入,提高人才素质     B坚持对外开放,大力引进人才

C创新人才机制,培养优秀人才     D提高人才待遇,改善创业环境

试题详情

专题一  新中国成立60周年

[专题考案]

试题详情

题型1.(楞次定律的应用和图像)如图甲所示,存在有界匀强磁场,磁感应强度大小均为B,方向分别垂直纸面向里和向外,磁场宽度均为L,在磁场区域的左侧相距为L处,有一边长为L的正方形导体线框,总电阻为R,且线框平面与磁场方向垂直. 现使线框以速度v匀速穿过磁场区域以初始位置为计时起点,规定电流逆时针方向时的电流和电动势方向为正,B垂直纸面向里时为正,则以下关于线框中的感应电动势、磁通量、感应电流、和电功率的四个图象描述不正确的是                                                         (   )

 

解析:在第一段时间内,磁通量等于零,感应电动势为零,感应电流为零,电功率为零。

在第二段时间内,

在第三段时间内,

在第四段时间内, 。此题选B。

规律总结:对应线圈穿过磁场产生感应电流的图像问题,应该注意以下几点:

⑴要划分每个不同的阶段,对每一过程采用楞次定律和法拉第电磁感应定律进行分析。

⑵要根据有关物理规律找到物理量间的函数关系式,以便确定图像的形状

⑶线圈穿越方向相反的两磁场时,要注意有两条边都切割磁感线产生感应电动势。

题型2.(电磁感应中的动力学分析)如图所示,固定在绝缘水平面上的的金属框架cdef处于竖直向下的匀强磁场中,金属棒ab电阻为r,跨在框架上,可以无摩擦地滑动,其余电阻不计.在t=0时刻,磁感应强度为B0,adeb恰好构成一个边长为L的正方形.⑴若从t=0时刻起,磁感应强度均匀增加,增加率为 k(T/s),用一个水平拉力让金属棒保持静止.在t=t1时刻,所施加的对金属棒的水平拉力大小是多大?⑵若从t=0时刻起,磁感应强度逐渐减小,当金属棒以速度v向右匀速运动时,可以使金属棒中恰好不产生感应电流.则磁感应强度B应怎样随时间t变化?写出Bt间的函数关系式.

解析:

 

规律总结:

题型3.(电磁感应中的能量问题)如图甲所示,相距为L的光滑平行金属导轨水平放置,导轨一部分处在以OO′为右边界匀强磁场中,匀强磁场的磁感应强度大小为B,方向垂直导轨平面向下,导轨右侧接有定值电阻R,导轨电阻忽略不计. 在距边界OO′也为L处垂直导轨放置一质量为m、电阻r的金属杆ab.

(1)若ab杆在恒力作用下由静止开始向右运动3L距离,其速度一位移的关系图象如图乙所示(图中所示量为已知量). 求此过程中电阻R上产生的焦耳QRab杆在刚要离开磁场时的加速度大小a.

(2)若ab杆固定在导轨上的初始位置,使匀强磁场保持大小不变,绕OO′轴匀速转动. 若从磁场方向由图示位置开始转过的过程中,电路中产生的焦耳热为Q2. 则磁场转动的角速度ω大小是多少?

  

解析:(1)ab杆离起起始位置的位移从L到3L的过程中,由动能定理可得

     (2分)

   ab杆在磁场中由起始位置发生位移L的过程,根据功能关系,恒力F做的功等于ab杆杆增加的动能与回路产生的焦耳热之和,则

     (2分)

   联立解得,(1分)  R上产生热量(1分)

   ab杆刚要离开磁场时,水平向上受安培力F和恒力F作用,

   安培力为:(2分)

   由牛顿第二定律可得:(1分)

   解得(1分)

  (2)磁场旋转时,可等效为矩形闭合电路在匀强磁场中反方向匀速转动,所以闭合电路中产生正弦式电流,感应电动势的峰值(2分)

   有效值  (2分)   (1分) 而(1分)

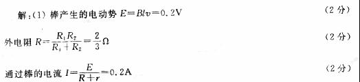
题型4.(电磁感应中的电路问题)如图所示,匀强磁场的磁感应强度T,金属棒AD长 0.4m,与框架宽度相同,电阻1/3,框架电阻不计,电阻R1=2R2=1.当金属棒以5m/s速度匀速向右运动时,求:

(1)流过金属棒的感应电流为多大?

(2)若图中电容器C为0.3F,则电容器中储存多少电荷量?.

题型5.(电磁感应定律)穿过闭合回路的磁通量Φ随时间t变化的图像分别如下图①~④所示。下列关于回路中产生的感应电动势的论述中正确的是:

A图①中回路产生的感应电动势恒定不变

B图②中回路产生的感应电动势一直在变大

C图③中回路0~t1时间内产生的感应电动势小于在t1~t2时间内产生的感应电动势

D图④中回路产生的感应电动势先变小再变大

 

解析:

丙图:0~t0斜率(不变)大于t0~2t0的斜率(不变)丁图:斜率先减小后增大

D选项对。

题型6.(流过截面的电量问题)如图7-1,在匀强磁场中固定放置一根串接一电阻R的直角形金属导轨aob(在纸面内),磁场方向垂直于纸面朝里,另有两根金属导轨cd分别平行于oaob放置。保持导轨之间接触良好,金属导轨的电阻不计。现经历以下四个过程:①以速度v移动d,使它与ob的距离增大一倍;②再以速率v移动c,使它与oa的距离减小一半;③然后,再以速率2v移动c,使它回到原处;④最后以速率2v移动d,使它也回到原处。设上述四个过程中通过电阻R的电量的大小依次为Q1Q2Q3Q4,则(  )

A、Q1=Q2=Q3=Q4       B、Q1=Q2=2Q3=2Q4  

C、2Q1=2Q2=Q3=Q4      D、Q1Q2=Q3Q4

解析:设开始导轨dOb的距离为x1,导轨cOa的距离为x2,由法拉第电磁感应定律知移动cd时产生的感应电动势:E,通过R的电量为:QIΔt。可见通过R的电量与导体dc移动的速度无关,由于BR为定值,其电量取决于所围成面积的变化。①若导轨dOb距离增大一倍,即由x1变2x1,则所围成的面积增大了ΔS1x1·x2;②若导轨c再与Oa距离减小一半,即由x2变为x2/2,则所围成的面积又减小了ΔS2=2x1·x2/2=x1·x2;③若导轨c再回到原处,此过程面积的变化为ΔS3=ΔS2=2x1·x2/2=x1·x2;④最后导轨d又回到原处,此过程面积的变化为ΔS4x1·x2;由于ΔS1=ΔS2=ΔS3=ΔS4,则通过电阻R的电量是相等的,即Q1Q2Q3Q4。选A。

规律总结:计算感应电量的两条思路:

思路一:当闭合电路中的磁通量发生变化时,根据法拉第电磁感应定律,平均感应电动势E=NΔφ/Δt,平均感应电流I=E/R=NΔφ/RΔt,则通过导体横截面的电量q=I=NΔφ/R。思路二:当导体棒在安培力(变力)作用下做变速运动,磁通量的变化难以确定时,常用动量定理通过求安培力的冲量求通过导体横截面积的电量。要快速求得通过导体横截面的电量Q,关键是正确求得穿过某一回路变化的磁通量ΔΦ。

题型7.(自感现象的应用) 如图1所示电路中, D1D2是两个相同的小灯泡, L是一个自感系数很大的线圈, 其电阻与R相同, 由于存在自感现象, 在开关S接通和断开瞬间, D1D2发亮的顺序是怎样的?

解析:开关接通时,由于线圈的自感作用,流过线圈的电流为零,D2与R并联再与D1串联,所以两灯同时亮;开关断开时,D2立即熄灭,由于线圈的自感作用,流过线圈的电流不能突变,线圈与等D1组成闭合回路,D1滞后一段时间灭。

规律总结:自感电动势仅仅是减缓了原电流的变化,不会阻止原电流的变化或逆转原电流的变化.原电流最终还是要增加到稳定值或减小到零 ,在自感现象发生的一瞬间电路中的电流为原值,然后逐渐改变。

题型8.(导体棒平动切割磁感线问题)如图所示,在一磁感应强度B=0.5T的匀强磁场中,垂直于磁场方向水平放置着两根相距为h=0.1m的平行金属导轨MN和PQ,导轨电阻忽略不计,在两根导轨的端点N、Q之间连接一阻值R=0.3Ω的电阻。导轨上跨放着一根长为L=0.2m,每米长电阻r=2.0Ω/m的金属棒ab,金属棒与导轨正交放置,交点为c、d,当金属棒在水平拉力作用于以速度v=4.0m/s向左做匀速运动时,试求:

(1)电阻R中的电流强度大小和方向;

(2)使金属棒做匀速运动的拉力;

(3)金属棒ab两端点间的电势差;

(4)回路中的发热功率。

 解析:金属棒向左匀速运动时,等效电路如图、所示。在闭合回路中,金属棒cd部分相当于电源,内阻rcd=hr,电动势Ecd= Bhv。

   (1)根据欧姆定律,R中的电流强度为0.4A,方向从N经R到Q。

   (2)使金属棒匀速运动的外力与安培力是一对平衡力,方向向左,大小为F=F=BIh=0.02N。

   (3)金属棒ab两端的电势差等于Uac、Ucd与Udb三者之和,由于Ucd=Ecd-Ircd,所以Uab=Eab-Ircd=BLv-Ircd=0.32V。

(4)回路中的热功率P=I2(R+hr)=0.08W。

规律总结:①不要把ab两端的电势差与ab棒产生的感应电动势这两个概念混为一谈。

②金属棒匀速运动时,拉力和安培力平衡,拉力做正功,安培力做负功,能量守恒,外力的机械功率和回路中的热功率相等,即

题型9.(导体棒转动切割磁感线问题)一直升飞机停在南半球某处上空.设该处地磁场的方向竖直向上,磁感应强度为B.直升飞机螺旋桨叶片的长度为l,螺旋桨转动的频率为f,顺着地磁场的方向看螺旋桨,螺旋桨按顺时针方向转动.螺旋桨叶片的近轴端为a,远轴端为b,如图所示.如果忽略到转轴中心线的距离,用E表示每个叶片中的感应电动势,则 (   )

A.E = πfl2B,且a点电势低于b点电势  

B.E = 2πfl2B,且a点电势低于b 点电势 

C.E = πfl2B,且a点电势高于b点电势  

D.E = 2πfl2B,且a点电势高于b点电势

解析:棒转动切割电动势E=BLV棒中,选A。

规律总结:①若转轴在0点:

②若转轴不在棒上:

试题详情

此专题复习时,可以先让学生完成相应的习题,在精心批阅之后以题目带动知识点,进行适当提炼讲解。这一专题的知识点较为综合,高考要求普遍较高,属于必考知识点 因为这部分的综合题较多,二轮复习时还是要稳扎稳打,从基本规律,基本解题步骤出发再进行提升。

试题详情

考点
要求
考点解读
电磁感应现象

本专题有对单一知识点的考查,也有对其它知识的综合考查考查的主要内容有楞次定律和法拉第电磁感应定律尤其是电磁感应与动力学、电路、能量守恒定律、图像相互结合的题目
 
磁通量

法拉第电磁感应定律

楞次定律

自感、涡流

试题详情


同步练习册答案