0  338714  338722  338728  338732  338738  338740  338744  338750  338752  338758  338764  338768  338770  338774  338780  338782  338788  338792  338794  338798  338800  338804  338806  338808  338809  338810  338812  338813  338814  338816  338818  338822  338824  338828  338830  338834  338840  338842  338848  338852  338854  338858  338864  338870  338872  338878  338882  338884  338890  338894  338900  338908  447090 

11.洋蓟素是一种新结构类型的抗乙型肝炎病毒和抗艾滋病病毒的化合物,其结构如下图所示,有关洋蓟素的说法正确的是

A.分子中含有4个手性碳原子 

B.不能与氯化铁溶液发生显色反应

C.一定条件下能发生酯化反应和消去反应

D.1mol洋蓟素最多可与11molNaOH反应

试题详情

10.下列化学实验事实解释正确的是

A.过量的铜屑与稀硝酸作用,反应停止后,再加入1mol/L稀硫酸,铜屑又逐渐溶解,是因为铜可直接与1mol/L稀硫酸反应

B.铁钉放在浓硝酸中浸泡后,再用蒸馏水冲洗,然后放入CuSO4溶液中不反应,说明铁钉表面形成了一层致密稳定的氧化膜

C.相同物质的量浓度乙酸铅溶液导电能力比乙酸钙弱得多,说明乙酸铅属于非电解质

D.浓NH4Cl溶液处理过的舞台幕布不易着火,是因为处理后幕布质量增加,着火点升高

试题详情

9.下列离子方程式与所述事实相符且正确的是

A.漂白粉溶液在空气中失效:ClO+CO2+H2O=HClO+HCO3

B.用浓盐酸与MnO2反应制取少量氯气:MnO2+2H++2ClMn2++Cl2↑+2H2O

C.向NaAlO2溶液中通入过量CO2制Al(OH)3:AlO2+CO2+2H2O=Al(OH)3↓+HCO3

  D.在强碱溶液中次氯酸钠与Fe(OH)3反应生成Na2FeO4

3ClO+2Fe(OH)3=2FeO42+3Cl+H2O+4H+

试题详情

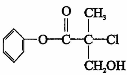
8、某有机物A 是农药生产中的一种中间体,其结构简式如下。下列叙述中正确的一项是

A.有机物A 最多20个原子共平面 B.有机物A 可以和Br2的CCl4溶液发生加成反应

C.有机物A 和浓硫酸混合加热,可以发生消去反应

D.1 mo1A 和足量的NaOH 溶液反应,最多可以消耗2mol NaOH

试题详情

7、下列实验方案可行的是(    )

A.为除去苯中的少量苯酚,向混合物中加入适量的溴水后过滤

B.证明                中一定有碳碳不饱和键:滴入KMnO4酸性溶液,看紫红色是否褪去

C.检验溶液中一定有:加入稀盐酸,将产生的气体通入澄清石灰水

D.用溴水鉴别苯、乙醇、四氯化碳.

试题详情

6、NA表示阿伏伽德罗常数,下列叙述正确的是(  )

A.标况下,11.2L氯仿中的C-Cl键数目为1.5NA

B.1 mol冰中,氢键的数目是NA

C.28克乙烯和聚乙烯的混合物完全燃烧生成CO2分子数为2 NA

D.将5.6克铁投入一定量的硝酸中,转移电子数为0.3NA

试题详情

5.元素X.Y.Z原子序数之和为36,X.Y在同一周期,X+与Z2-具有相同的核外电子层结构。下列推测不正确的是   

A.同周期元素中X的金属性最强

B.原子半径X>Y,离子半径X+>Z2-

C.同族元素中Z的氢化物稳定性最强

D.同周期元素中Y的最高价含氧酸的酸性最强

试题详情

4.下列涉及有机物的性质或应用的说法不正确的是

A.干馏煤可以得到甲烷、苯和氨等重要化工原料

B.用于奥运“祥云”火炬的丙烷是一种清洁燃料

C.用大米酿的酒在一定条件下密封保存,时间越长越香醇

D.油脂都不能使溴的四氯化碳溶液褪色

试题详情

3.下列说法正确的是                           

A.两难溶电解质作比较时,Ksp小的,溶解度一定小;

B. Ksp大小取决于难溶电解质的量,所以离子浓度改变时,沉淀平衡会发生移动

C.所谓沉淀完全就是用沉淀剂将溶液中某一离子除净;

D. 温度一定时,当溶液中Ag+和Cl-浓度的乘积等于Ksp时,此溶液为AgCl的饱和溶液

试题详情

2.吸进人体内的氧有2%转化为氧化性极强的活性氧,这些活性氧能加速人体衰老,被称为“生命杀手”,中国科学家尝试用Na2SeO3清除人体内活性氧,则Na2SeO3的作用是    A.氧化剂    B.还原剂   C.既是氧化剂又是还原剂    D.以上均不是

试题详情


同步练习册答案