0  339295  339303  339309  339313  339319  339321  339325  339331  339333  339339  339345  339349  339351  339355  339361  339363  339369  339373  339375  339379  339381  339385  339387  339389  339390  339391  339393  339394  339395  339397  339399  339403  339405  339409  339411  339415  339421  339423  339429  339433  339435  339439  339445  339451  339453  339459  339463  339465  339471  339475  339481  339489  447090 

17.(本小题满分lO分)

   在△ABC中,a,b,c分别是角A,B,C的对边,A为锐角,已知向量

 

  (I)若,求实数m的值。

  (II)若,求△ABC面积的最大值.

试题详情

16.如图,B地在A地的正东方向4km处,C地在B地的北偏东30°方向2km处,河流的沿

岸PQ(曲线)上任意一点到A的距离比到B的距离远2km.现要在曲线PQ上选一处

M建一座码头,向B、C两地转运货物.经测算,从M到B、M到C修建公路的费

用分别是a万元∕km、2a万元/km,那么修建这两条公路的总费用最低是_______万元

            

试题详情

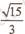
15.在半径为R的球面上有不同的三点A、B、C,已知A、B、C三点中任意两点的球

面距离均为.O为球心,则三棱锥。O一ABC的体积为_______

试题详情

14.  为了解高三学生的数学学习情况,现抽取某班60名学生的数学成绩进行分析,将所得

数据整理后,画出其频率分布直方图(如图).已知从左到右各长方形高的比为

2:3:5:6:3:1,则该班学生数学成绩在(80,100)之间的学生人数是____

试题详情

13。(i为虚数单位)的展开式中含项的系数等于-28,则n=______

试题详情

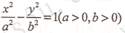
12.设二元一次不等式组所表示的平面区域为M.若曲线总经过区域M,则实数m的取值范围是

A.   B.

C.    D.

第Ⅱ卷(非选择题,共90分)

试题详情

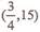
11.已经点P(-3,1)在双曲线的左准线上,过点P且方向向量为

的光线,经直线y=-2反射后通过双曲线的左焦点,则该双曲线的离心率

A.  B.  C.  D.

试题详情

10.己知奇函数为减函数,且,则不等式

  解集为

A.

B.

C.

D.

试题详情

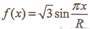
9.  己知在函数图像上,相邻的一个最大值点与一个最小值点恰好在圆

   上,则,的最小正周期为

A. I       B. 2      C. 3     D. 4

试题详情

8.把一枚骰子投掷两次,第一次出现的点数记为a,第二次出现的点数记为b.设事件A

  “方程组只有一组解”,则事件A发生的概率等于

  A.   B.   c.   D.

试题详情


同步练习册答案