0  349772  349780  349786  349790  349796  349798  349802  349808  349810  349816  349822  349826  349828  349832  349838  349840  349846  349850  349852  349856  349858  349862  349864  349866  349867  349868  349870  349871  349872  349874  349876  349880  349882  349886  349888  349892  349898  349900  349906  349910  349912  349916  349922  349928  349930  349936  349940  349942  349948  349952  349958  349966  447090 

2. 如图19-A-3所示,水平面上的物体受到力F1F2作用,F1水平向右,F2与水平方向之间夹角为θ,物体在运动过程中,力F1F2的合力做功为W,若物体一直沿水平地面运动,则力F2对物体做功的大小为    (   )

A.    F2W/( F1+ F2)    

B. F2Wcosθ/( F1+ F2)

  C. F1Wcosθ/( F1cosθ+F2)

  D. F2Wcosθ/( F1+ F2 cosθ)

(正确区别合外力对物体所做功和某个力所做功)

试题详情

1.以一定的初速度竖直向上抛出一个小球,小球上升的最大高度为h,空气阻力的大小恒为F,则从抛出到落回到抛出点的过程中,空气阻力对小球做的功为            (   )

A..零  B.-Fh    C.Fh   D.-2 Fh 

(功的公式中F是恒力,W功是标量,本题中F是恒力还是变力?考查学生的理解和应变能力。)

试题详情

13.如图18-B-5质量为M=0.7kg的靶盒位于光滑水平导轨上,在O点时,恰能静止,每当它离开O点时便受到一个指向O点的大小恒为F=50N的力.P处有一固定的发射器,它可根据需要瞄准靶盒,每次

发射出一颗水平速度V0=50m/s,质量m=0.10kg的球形子弹(它在空中运动过程中不受任何力的作用).当子弹打入靶盒后,便留在盒内不反弹也不穿出.开始时靶盒静止在O点.今约定,每当靶盒停在或到达O点时,都有一颗子弹进入靶盒内.

  (1)当第三颗子弹进入靶盒后,靶盒离开O点的最大距离为多少?从离开O点到又回到O点经历的时间为多少?

  (2)若P点到O点的距离为S=0.20m,问至少应发射几颗子弹后停止射击,才能使靶盒来回运动而不会碰到发射器.

试题详情

12.如图18-B-4所示,在光滑的水平桌面上,有两端装挡板的木板C,木板长2 m,质量为5 kg,在C板的中

 央,并排放着两个体积很小的滑块A和B,A的质

 量为1 kg,B的质量为4 kg.开始时,A、B与C都

 处于静止状态,且A、B间夹有一轻质弹簧.现让弹簧突然弹开,使A以6 m/s的水平速度向左滑动,

 如果A、B与C间无摩擦,两滑块与挡板碰撞后都

 与挡板粘合成一体,弹簧弹开和碰撞所需时间均可

 忽略.求

(1)当两个滑块都与挡板碰撞后,板C的速度多大?(2)从弹簧弹开到两滑块都与挡板碰撞的过程中,C板的位移多大?

试题详情

11.有两块大小不同的圆形薄板(厚度不计)质量分别为M和m,半径分别为R和r,两板之间用一根长为0.4m的轻绳相连结.开始时,两板水平放置并叠合在一起,静止于高度为0.2m处如图18-B-3.然后自由下落到一固定支架C上,支架上有一半径为R(r<R<R)的圆孔,圆孔与两薄板中心均在圆板中心轴线上,大薄板与支架发生没有机械能损失的碰撞.碰撞后,两板即分离,直到轻绳绷紧.在轻绳绷紧瞬间,两物体具有共同速度V,如图(b).求:

(1)  若M=m,则V值为多大

(2)若M/m=K,试讨论V的方向与K值间的关系.

试题详情

10.气功碎石表演中,质量M=200kg的石板压在演员身上,另一个演员举起质量m=5 kg的铁锤,使劲地向石板砸去的瞬间.石板被砸碎了,而演员安然无恙,试通过分析和必要的理论计算来说明其中的奥妙.

试题详情

9.一个质量为M,底面长为b的三角形劈静止于光滑的水平桌面上,有一质量为m的小球由斜面顶部无初速滑到底部时,劈移动的距离为   

试题详情

8. 在一光滑水平面上自左向右依次放置着质量为2n-1m(n=1、2、3…)的一系列物体,另有一质量为m的物体A以水平向右的速度V

运动,并先后与物体1、2、3…依次碰撞,且每次碰撞后都粘在一起,则在碰撞    次后A物体的动量变为原来的1/32。

试题详情

7.如图18-B-2,静止在湖面上的小

 船上有甲、乙两人,分别向

 相反的水平方向抛出质量

 相等的小球,甲向左抛出、

 乙向右抛出.甲先抛、乙

 后抛,抛出后两小球相对

 于河岸的速率相等,则下

列说法正确的是(船受水的阻力不计)   (   )

A. 两球抛出,船往左以一定的速率运动

B.两球抛出后船以一定的速率向右运动,甲球受到的冲

  量大些

C. 球抛出后,船的速度为零,抛出时甲球受冲量大些

D.两球抛出后,船的速度为零,两球所受冲量相等

试题详情

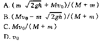
6.如图18-B-1所示,质量为M的小车在光滑的水平面上以Vo向右匀速运动,一个质量为m的小球从高h处自由下落,与小车碰撞后,与车一起向右运动.则其速度为   (   )

试题详情


同步练习册答案