0  364839  364847  364853  364857  364863  364865  364869  364875  364877  364883  364889  364893  364895  364899  364905  364907  364913  364917  364919  364923  364925  364929  364931  364933  364934  364935  364937  364938  364939  364941  364943  364947  364949  364953  364955  364959  364965  364967  364973  364977  364979  364983  364989  364995  364997  365003  365007  365009  365015  365019  365025  365033  447090 

3、(2009江宁高级中学3月联考)某程序的伪代码

如图所示,则程序运行后的输出结果为    

答案 16

试题详情

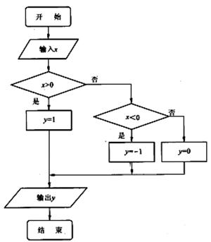
2.(辽宁省抚顺一中高三数学上学期第一次月考)

右图的程序框图,输出的结果是

A  y=    B  y= 

C  y=    D  y=

答案:D.

试题详情

1.(辽宁省抚顺一中高三数学上学期第一次月考)

右图给出的是计算

值的一个程序框图,判断其中框内应填入

的条件是  

A.  i>10     B.  i<10

C.  i>20     D.  i<20

答案:A.

试题详情

2010年联考题

试题详情

6、(2008山东13)执行右边的程序框图6,若p=0.8,

则输出的n   .

答案  4

试题详情

4、(2007海南文、理5)如果执行下面的程序框图,那么输出的( )

A.2450   B.2500       C.2550           D.2652

 答案 C

试题详情

3、(2007宁夏文、理5)如果执行右面的程序框图,那么输出的          (   )

A.2450          B.2500       

C.2550          D.2652

答案 C

试题详情

2、(2007广东文7)上面左图是某县参加2007

年高考的学生身高条形统计图,从左到右的各

条形表示的学生人数依次记为A1A2、…、A10

(如A2表示身高(单位:cm)(150,155)内

的学生人数).右图是统计左图中身高在一定范

围内学生人数的一个算法流程图.现要统计身高

在160~180cm(含160cm,不含180cm)的学生人数,

那么在流程图中的判断框内应填写的条件是(   )

A.i<6   B. i<7    C. i<8    D. i<9

答案  B

试题详情

1、(2008海南)右面的程序框图5,如果输入三个实数a、b、c,要求输出这三个数中最大的数,那么在空白的判断框中,应该填入下面四个选项中的                          (   ) 

A. c > x    B. x > c   

C. c > b       D. b > c

答案   A

试题详情


同步练习册答案