0  364837  364845  364851  364855  364861  364863  364867  364873  364875  364881  364887  364891  364893  364897  364903  364905  364911  364915  364917  364921  364923  364927  364929  364931  364932  364933  364935  364936  364937  364939  364941  364945  364947  364951  364953  364957  364963  364965  364971  364975  364977  364981  364987  364993  364995  365001  365005  365007  365013  365017  365023  365031  447090 

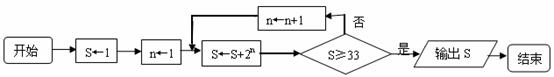
9.(2010江苏卷)7、右图是一个算法的流程图,则输出S的值是_____________

[解析]考查流程图理解。输出

2009年高考题

试题详情

8.(2010安徽理)14、如图所示,程序框图(算法流程图)的输出值________。

[答案]12

[解析]

程序运行如下:

,

输出12。

[规律总结]这类问题,通常由开始一步一步运行,根据判断条件,要么几步后就会输出结果,要么就会出现规律,如周期性,等差或等比数列型.

试题详情

7.(2010湖南理)12.图2是求

的值的程序框图,则正整数    

试题详情

第五()步:,输出

6.(2010山东理)(13)执行右图所示的程序框图,若输入,则输出的值为      

[答案]

[解析]当x=10时,y=,此时|y-x|=6;

当x=4时,y=,此时|y-x|=3;当x=1时,y=,此时|y-x|=

当x=时,y=,此时|y-x|=,故输出y的值为

[命题意图]本题考查程序框图的基础知识,考查了同学们的试图能力。

试题详情

5.(2010广东文)11.某城市缺水问题比较突出,为了制定节水管

理办法,对全市居民某年的月均用水量进行了

抽样调查,其中4位居民的月均用水量分别为

(单位:吨)。根据图2所示的程序框图,若分

别为1,1.5,1.5,2,则输出的结果   .

试题详情

4.(2010广东理)13.某城市缺水问题比较突出,为了制定节水管理办法,对全市居民某年的月均用水量进行了抽样调查,其中n位居民的月均用水量分别为x1…xn(单位:吨),根据图2所示的程序框图,若n=2,且x1x2 分别为1,2,则输出地结果s为    .

[答案]

试题详情

3.(2010北京文)(9)已知函数右图表示的是给定x的值,求其对应的函数值y的程序框图,

①处应填写      ;②处应填写     

答案:

试题详情

2.(2010安徽文)(13)如图所示,程序框图(算法流程图)的输出值x=      

[答案] 12

[解析]程序运行如下:

,输出12。

[规律总结]这类问题,通常由开始一步一步运行,根据判断条件,要么几步后就会输出结果,要么就会出现规律,如周期性,等差或等比数列型.

试题详情

1.(2010湖南文)12.图1是求实数x的绝对值的算法程

序框图,则判断框①中可填             

  

[答案]

试题详情

8.(2010福建理)

试题详情


同步练习册答案