0  411030  411038  411044  411048  411054  411056  411060  411066  411068  411074  411080  411084  411086  411090  411096  411098  411104  411108  411110  411114  411116  411120  411122  411124  411125  411126  411128  411129  411130  411132  411134  411138  411140  411144  411146  411150  411156  411158  411164  411168  411170  411174  411180  411186  411188  411194  411198  411200  411206  411210  411216  411224  447090 

1.(09全国卷Ⅱ11) 已知:2H2(g)+ O2(g)=2H2O(l)  ΔH= -571.6KJ· mol-1     

     CH4(g)+ 2O2(g)=CO2(g)+2H2O(l)  ΔH= -890KJ· mol-1

现有H2与CH4的混合气体112L(标准状况),使其完全燃烧生成CO2和H2O(l),若实验测得反应放热3695KJ,则原混合气体中H2与CH4的物质的量之比是

A.1∶1               B.1∶3

C.1∶4               D.2∶3

答案:B

解析:设H2、CH4的物质的量分别为x、ymol。则x + y =5,571.6x/2 + 890y = 3695,解得x=1.25mol; y=3.75mol,两者比为1:3,故选B项。

2(09天津卷6)已知:2CO(g)+O2(g)=2CO2(g)   ΔH=-566 kJ/mol

Na2O2(s)+CO2(g)=Na2CO3(s)+      ΔH=-226 kJ/mol

根据以上热化学方程式判断,下列说法正确的是

A.CO的燃烧热为283 kJ

B.右图可表示由CO生成CO2的反应过程和能量关系

C.2Na2O2(s)+2CO2(s)=2Na2CO3(s)+O2(g)    ΔH>-452 kJ/mol

D.CO(g)与Na2O2(s)反应放出509 kJ热量时,电子转移数为6.02×1023

答案:C

解析:

A项,燃烧热的单位出错,应为Kj/mol,错;图中的量标明错误,应标为2molCO和2molCO2,故错。CO2气体的能量大于固体的能量,故C项中放出的能量应小于452KJ,而H用负值表示时,则大于-452Kj/mol,正确;将下式乘以2,然后与上式相加,再除以2,即得CO与Na2O2的反应热,所得热量为57KJ,故D项错。

3. (09四川卷9)25 ℃,101 k Pa时,强酸与强碱的稀溶液发生中和反应的中和热为57.3 kJ/mol,辛烷的燃烧热为5518 kJ/mol。下列热化学方程式书写正确的是

A.2H+(aq) +(aq)+(aq)+2OH(aq)=BaSO4(s)+2HO(1);H=57.3 kJ/mol

B.KOH(aq)+H SO4(aq)= KSO4(aq)+HO(I); H=57.3kJ/mol

C.C8H18(I)+  O (g)=8CO (g)+ 9HO; H=5518 kJ/mol

D.2C8H18(g)+25O (g)=16CO (g)+18HO(1); H=5518 kJ/mol

答案:B

4(09上海卷19)已知氯气、溴蒸气分别跟氢气反应的热化学方程式如下(均为正值):

  

有关上述反应的叙述正确的是

  A.

  B.生成物总能量均高于反应物总能量

  C.生成1molHCl气体时放出热量

  D.1mol HBr(g)具有的能量大于1mol HBr(1)具有的能量

答案:AD

5. (09重庆卷12)下列热化学方程式数学正确的是(的绝对值均正确)

A.C2H5OH(l)+3O2(g)==2CO2(g)+3H2O(g);△H=-1367.0 kJ/mol(燃烧热)

B. NaOH(aq)+HCl(aq)==NaCl(aq)+H2O(l);△H=+57.3kJ/mol(中和热)

   C.S(s)+O2(g)===SO2(g);△H=-269.8kJ/mol(反应热)

   D. 2NO2==O2+2NO;△H=+116.2kJ/mol(反应热)

答案:C

解析:

A项燃烧热要求可燃物的物质的量必须为1mol,得到的氧化物必须是稳定的氧化物,H2O的状态必须为液态,A项错误;

中和反应是放热反应,△H应小于0,B项错误;

热化学反应方程式要注明物质在反应时的状态,D项错误;

答案C正确

试题详情

20.(09宁夏卷26)(14分)碱式碳酸铜可表示为:xCuCO3·yCu(OH) 2·zH2O,测定碱式碳酸铜组成的方法有多种。

(1)现采用氢气还原法,请回答如下问题:

①写出xCuCO3·yCu(OH) 2·zH2O与氢气反应的化学方程式           

②试验装置用下列所有仪器连接而成,按氢气流方向的连接顺序是(填入仪器接口字母编号):

(a)( )( )( )( )( )( )( )( )( )( )(l)

③称取23.9g某碱式碳酸铜样品,充分反应后得到12.7g残留物,生成4.4g二氧化碳和7.2g水。该样品的结晶水质量为       g,化学式为      

(2)某同学以氮气代替氢气,并用上述全部或部分仪器来测定碱式碳酸铜的组成,你认为是否可行?请说明理由。            

答案:

(1)①xCuCO3·yCu(OH)2·zH2O+(x+y)H 2 = (x+y)Cu+ xCO2+(x+2y+z)H2O

②a→k,j→gf(hi)→de(ed)→hi(gf)→bc(cb)→l

③1.8  CuCO3·Cu(OH) 2·H2O

(2)可行  根据反应xCuCO3·yCu(OH) 2·zH2O=(x+y)CuO+ xCO2↑+(y+z)H2O↑,依据碱式碳酸铜、CuO、CO2和H2O质量(或其中任意三个量),即可计算出其组成。

解析:

(1)本题的碱式碳酸铜与氢气反应看似一个很难的信息,其实细心一点只要把它理解为CuCO3和Cu(OH)2受热分解后产物CuO再与氢气反应,第①问题便可以解决;对于②要能分析出测定反应后CO2和H2O质量,因此对于氢气发生器后仪器的选择是除氯化氢和水蒸气,防止对后续测定影响就可以了,因为测定H2O和CO2分别用浓硫酸和碱石灰是固定的。

(2)其实在分析(1)①方程式书写时便得到了碱式碳酸铜热分解方程式: xCuCO3·yCu(OH) 2·zH2O=(x+y)CuO+ xCO2↑+(y+z)H2O↑,稍加分析可知,依据碱式碳酸铜、CuO、CO2和H2O质量(或其中任意三个量),即可计算出其组成。

试题详情

19.(09上海卷25) 铁和铝是两种重要的金属,它们的单质及化合物有着各自的性质。

(1)在一定温度下,氧化铁可以与一氧化碳发生下列反应:

  

   ①该反应的平衡常数表达式为:K=               

   ②该温度下,在2L盛有粉末的密闭容器中通入CO气体,10min后,生成了单质铁11.2g。则10min内CO的平均反应速率为                

(2)请用上述反应中某种气体的有关物理量来说明该反应已达到平衡状态:

  ①                                   

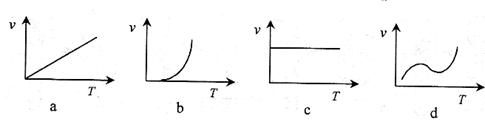
(3)某些金属氧化物粉末和Al粉在镁条的引燃下可以发生铝热反应。下列反应速率(v)和温度(T)的关系示意图中与铝热反应最接近的是      

(4)写出氢氧化铝在水中发生酸式电离的电离方程式:             

欲使上述体系中浓度增加,可加入的物质是          

答案:

(1)

(2)①CO或(CO2)的生成速率与消耗速率相等;②CO(或CO2)的质量不再改变                            (合理即给分)

(3) b

(4)  盐酸         (合理即给分)

试题详情

18.(09北京卷26)(15分)

以富含硫酸亚铁的工业废液为原料生产氧化铁的工艺如下(部分操作和条件略);

I 从废液中提纯并结晶处

II将溶液与稍过量的溶液混合,得到含的浊液

IV 将浊液过滤,用90°C热水洗涤沉淀,干燥后得到固体

V煅烧,得到固体

已知:在热水中分解

(1)    I中,加足量的铁屑出去废液中的,该反应的离子方程式是     

(2)    II中,需加一定量硫酸,运用化学平衡原理简述硫酸的作用    

(3)    III中,生成的离子方程式是      。若浊液长时间暴露在空气中,会有部分固体表面变为红褐色,该变化的化学方程式是    

(4)    IV中,通过检验来判断沉淀是否洗涤干净。检验操作是是     

(5)    已知煅烧的化学方程式是,现煅烧464.0kg的,得到316.8kg产品,若产品中杂质只有,则该产品中的质量是       kg(摩尔质量/g·)

答案:

(1)Fe + 2Fe3+ = 3Fe2+

(2)加入硫酸,H+浓度增大,使Fe2+ + 2H2OFe(OH)2 + 2H+的平衡向逆反应方向移动,从而抑制FeSO4的水解

(3)Fe2+ + 2HCO3- = FeCO3↓+ CO2 ↑ + H2O

4FeCO3 + 6H2O + O2 = 4Fe(OH)3 ↓+ 4CO2

(4)取少量洗涤后的滤液放入试管中,滴加酸化的BaCl2溶液,若无白色沉淀产生,则沉淀洗涤干净

(5)288.0

试题详情

17.(09广东化学22)(12分)

某工厂生产硼砂过程中产生的固体废料,主要含有MgCO3、MgSiO3、 CaMg(CO3)2、Al2O3和Fe2O3等,回收其中镁的工艺流程如下:

沉淀物
Fe(OH)3
Al(OH)3
Mg(OH)2
PH
3.2
5.2
12.4

部分阳离子以氢氧化物形式完全深沉时溶液的pH由见上表,请回答下列问题:

(1)“浸出”步骤中,为提高镁的浸出率,可采取的措施有      (要求写出两条)。

(2)滤渣I的主要成分有   

(3)从滤渣Ⅱ中可回收利用的主要物质有    

(4)Mg(ClO3)2在农业上可用作脱叶剂、催熟剂,可采用复分解反应制备:

    MgCl2+2NaClO3===Mg(ClO3)2+2NaCl

已知四种化合物的溶解度(S)随温度(T)变化曲线如下图所示:

①将反应物按化学反应方程式计量数比混合制备Mg(ClO3)2。简述可制备Mg(ClO3)2的原因:    

②按①中条件进行制备实验。在冷却降温析出Mg(ClO3)2过程中,常伴有NaCl析出,原因是:       。除去产品中该杂质的方法是:      

答案:

(1)升高温度、搅拌、过滤后再向滤渣中加入硫酸(多次浸取)

(2)Fe(OH)3  Al(OH)3

(3)Na2SO4

(4)①在某一时NaCl最先达到饱和析出;Mg(ClO3)2的溶解度随温度变化最大;NaCl 的溶解度与其他物质的溶解度有一定的差别。

②降温前溶液中NaCl以达饱和;降低过程中NaCl溶解度会降低 ,会少量析出。重结晶。

解析:

浸出步骤硫酸同固体废料中主要成份反应,从化学反应速率和化学平衡的影响因素来看,可通过升高温度提高硫酸镁的溶解度,或通过搅拌使反应物充分接触反应,或通过过滤后滤渣多次浸取以提高转化率。硫酸浸出液经过滤,滤液中主要溶质是MgSO4、Al2(SO4)3和Fe2(SO4)3,根据阳离子以氢氧化物形式完全沉淀时溶液的pH,在调节pH至5.5时,Fe3+和Al3+已经完全沉淀,滤渣I的主要成分是Fe(OH)3  Al(OH)3,此时滤液中阴离子主要是SO42,加入NaOH后Mg2+完全沉淀,溶质主要成分是Na2SO4;反应MgCl2+2NaClO3===Mg(ClO3)2+2NaCl类似于侯德榜制碱法生成NaHCO3的原理,因为NaCl溶解度小而从溶液中析出,使反应向生成Mg(ClO3)2的方向进行;同样是依据①的原理,在降温的过程中,Mg(ClO3)2的溶解度不断减小,从溶液中析出,在生成Mg(ClO3)2的过程中NaCl也不断生成,但因溶解度没有增加,所以也伴随Mg(ClO3)2析出;相同温度时氯化钠的溶解度最小,因此在冷却降温析出Mg(ClO3)2过程中一定会析出氯化钠。由于氯酸镁和氯化钠均溶于水,溶于水的可溶性物质一般用结晶和重结晶的方法分离。

试题详情

16.(09广东化学21)(12分)

  三草酸合铁酸钾晶体K3  [Fe(C2O4 )3]·3H2O可用于摄影和蓝色印刷。某小组将无水三草酸合铁酸钾在一定条件下加热分解,对所得气体产物和固体产物进行实验和探究。请利用实验室常用仪器、用品和以下限选试剂完成验证和探究过程。

  限选试剂:浓硫酸、1.0 mol·L-1HNO3、1.0 mol·L-1盐酸、1.0 mol·L-1 NaOH、3% H2O2 、0.1mol·L-1KI、0.1 mol·L-1CuSO4、20% KSCN、澄清石灰水、氧化铜、蒸馏水。

(1)将气体产物依次通过澄清石灰水(A)、浓硫酸、灼热氧化铜(B)、澄清石灰水(C),观察到A、C中澄清石灰水都变浑浊,B中有红色固体生成,则气体产物是    

(2)该小组同学查阅资料后推知,固体产物中,铁元素不可能以三价形式存在,而盐只有K2CO3。验证固体产物中钾元素存在的方法是     ,现象是      

(3)固体产物中铁元素存在形式的探究。

    ①提出合理假设

     假设1:      ;      假设2:        ;假设3:     

②设计实验方案证明你的假设(不要在答题卡上作答)

③实验过程

  根据②中方案进行实验。在答题卡上按下表的格式写出实验步骤、预期现象与结论。

实验步骤
预期现象与结论
步骤1:
 
步骤2:
 
步骤3:
 
……
 

答案:

(1)CO2、CO

(2)焰色反应  透过蓝色钴玻璃,观察到紫色的火焰

(3)①FeO    FeO、Fe     Fe

实验步骤
预期现象与结论
步骤1:取适量固体产物与试管中,加入足量蒸馏水,充分振荡使碳酸钾完全溶解。分离不容固体与溶液,用蒸馏水充分洗涤不溶固体
固体产物部分溶解
步骤2:向试管中加入适量硫酸铜溶液,再加入少量不溶固体,充分振荡
(1)    若蓝色溶液颜色及加入的不溶固体无明显变化,则假设2成立。
(2)    若蓝色溶液颜色明显改变,且有暗红色固体生成,则证明有铁单质存在
步骤3:继续步骤2中的(2),进行固液分离,用蒸馏水洗涤固体至洗涤液无色。取少量固体与试管中,滴加过量HCl,静置,取上层清液,滴加适量H2O2 ,充分振荡后滴加KSCN
结合步骤2中的(2):
(1)    若溶液基本无色,则假设(1)成立
(2)    若溶液呈血红色,则假设(3)成立

③步骤1:将固体产物加入1.0 mol·L-1盐酸中 观察有无气体  若有气泡产生、说明固体产物中含有单质铁,反之,则不含单质铁

步骤2:将固体产物加入足量的0.1 mol·L-1CuSO4中充分反应后过滤、洗涤后,将沉淀物溶于1.0 mol·L-1盐酸,再加入20% KSCN,最后加入3%  H2O2,若最终溶液显红色,说明固体产物中含有FeO,若不出现红色、说明不含有FeO

解析:

(1)将产生的气体产物依次通过澄清石灰水,石灰水变混浊,说明产生的气体中含有CO2,然后再通过灼热氧化铜、澄清石灰水,观察到有红色固体生成,澄清石灰水都变浑浊,气体中含有CO;

(2)碱金属元素的检验一般采用焰色反应;

(3)依据信息:固体产物中,铁元素不可能以三价形式存在,而盐只有K2CO3,可推测铁元素只能以亚铁及铁单质的形式存在;在设计实验时,应注意Fe与FeO的性质的不同点。

试题详情

15.(09福建卷24)(13分)

从铝土矿(主要成分是,含、MgO等杂质)中提取两种工艺品的流程如下:

请回答下列问题:

(1)流程甲加入盐酸后生成Al3+的方程式为_________.

(2)流程乙加入烧碱后生成Si的离子方程式为________.

(3)验证滤液B含,可取少量滤液并加入________(填试剂名称)。

(4)滤液E、K中溶质的主要成份是________(填化学式),写出该溶液的一种用途________

(5)已知298K时,的容度积常数=5.6×,取适量的滤液B,加入一定量的烧碱达到沉淀溶液平衡,测得PH=13.00,则此温度下残留在溶液中的=_______.

答案:

(1)Al2O3 + 6H+ 2Al3+ +3H2O

(2)SiO2 + 2OH SiO32 + H2O

(3)硫氰化钾(或硫氰酸钾、苯酚溶液等合理答案:)

(4)NaHCO3;制纯碱或做发酵粉等合理答案:

(5)5.6×10-10mol/L

解析:

本题考查铝土矿中氧化铝提取的工艺流程。(1)与HCl反应生成Al3+,应为铝土矿中Al2O3。(2)SiO2可以溶于NaOH中生成Na2SiO3。(3)检验Fe3+的特征反应很多,如与KSCN显血红色,与苯酚显紫色,与OH显红褐色沉淀等。(4)生成E、K时,CO2均是过量的,故应生成NaHCO3。(5)=5.6×10-12/(0.1)2=5.6×10-10

试题详情

14.(09江苏卷16)(8分)以氯化钾和钛白厂的副产品硫酸亚铁为原料生产硫酸钾、过二硫酸钠和氧化铁红颜料,原料的综合利用率较高。其主要流程如下:

(1)反应I前需在溶液中加入         (填字母),以除去溶液中的

A.锌粉   B.铁屑   C.KI溶液   D.

(2)反应Ⅰ需控制反应温度低于35℃,其目的是     

(3)工业生产上常在反应Ⅲ的过程中加入一定量的醇类溶剂,其目的是    

(4)反应Ⅳ常被用于电解生产(过二硫酸铵)。电解时均用惰性电极,阳极发生地电极反应可表示为     

答案:

(1)B

(2)防止NH4HCO3分解(或减少Fe2+的水解)

(3)降低K2SO4 的溶解度,有利于K2SO4 析出。

(4)2SO42- -2e2S2O82-

解析:

(1)在溶液中除去溶液中的,最好选用铁屑或铁粉,比较简单。

(2)如果温度过高会导致NH4HCO3分解同样也会加快Fe2+的水解(温度越高水解速率越快)这样会使原料利用率降低。

(3)由题目看出在III反应中生成的K2SO4 为固体,而K2SO4在无机溶剂中溶解度是比较大的,要想使K2SO4析出只能降低其溶解度所以加入醇类溶剂目的降低K2SO4 的溶解度。

(4)根据阴阳极反应原理阳极失电子发生氧化反应, 此题实质是电解硫酸铵溶液,在根据反应后的产物得出正确的答案。

试题详情

13.(09天津卷7)(14分)下表为元素周期表的一部分,请参照元素①-⑧在表中的位置,用化学用语回答下列问题:


周期
IA
 
0
1

ⅡA
ⅢA
ⅣA
ⅤA
ⅥA
ⅦA
 
2
 
 
 



 
 
3

 


 
 

 

(1)④、⑤、⑥的原子半径由大到小的顺序为_________________________。

(2)②、③、⑦的最高价含氧酸的酸性由强到弱的顺序是_________________________。

(3)①、④、⑤、⑧中的某些元素可形成既含离子键又含极性共价键的化合物,写出其中一种化合物的电子式:____________________。

(4)由表中两种元素的原子按1:1组成的常见液态化合物的稀液易被催化分解,可使用的催化剂为(填序号)_________________。

a.MnO2           b.FeCl3         c.Na2SO3        d.KMnO4

(5)由表中元素形成的常见物质X、Y、Z、M、N可发生以下反应:

X溶液与Y溶液反应的离子方程式为_____________________,

N→⑥的单质的化学方程式为________________。

常温下,为使0.1 mol/L M 溶液中由M电离的阴、阳离子浓度相等,应向溶液中加入一定量的Y溶液至_________________。

答案:

 

解析:

本题以周期表为题材,考查原子半径比较,酸性强弱,电子式,离子方程式以及盐类水解等知识。

(1)⑤⑥位于同一周期,且⑤排在⑥的前面,原子半径大,而④在上一周期,比⑤、⑥少一个电子层,故半径最小。

(2)②⑦位于同一主族,上面的非金属性强,最高价含氧酸酸性强,②③位于同一周期,且③在后,非金属性强,对应的酸性强。

(3)四种元素分别为氢、氧、钠和氯,离子键显然必须是钠盐,极性共价键则应有两种非金属组成。

(4)液态H2O2可以在MnO2、FeCl3等催化剂作用下发生分解反应。

(5)⑥为Al,可推断Z为Al(OH)3,受热分解可产物Al2O3,再电解即可得单质铝。M仅含非金属的盐,显然铵盐,所以X与Y应为AlCl3与NH3·H2O的反应,生成NH4Cl。由于NH4+ 水解,故要使其浓度与Cl相等,则要补充NH3·H2O。由电荷守恒知:C(NH4+ )+ C(H+)C(Cl)+C(OH),若C(NH4+ ) C(Cl),则C(H+)= C(OH),即pH=7。

试题详情

12.(09上海卷22)实验室将9g铝粉跟一定量的金属氧化物粉末混合形成铝热剂。发生铝热反应之后,所得固体中含金属单质为18g,则该氧化物粉末可能是

  A.   B.   C.  D 和FeO

答案:AD

试题详情


同步练习册答案