0  411286  411294  411300  411304  411310  411312  411316  411322  411324  411330  411336  411340  411342  411346  411352  411354  411360  411364  411366  411370  411372  411376  411378  411380  411381  411382  411384  411385  411386  411388  411390  411394  411396  411400  411402  411406  411412  411414  411420  411424  411426  411430  411436  411442  411444  411450  411454  411456  411462  411466  411472  411480  447090 

27.(5分)某课外活动小组为了测定一批石灰石中碳酸钙的质量分数,将石灰石样品研成粉末,然后取一定量的石灰石粉末与过量稀盐酸充分反应(假设石灰石中的杂质既不和酸反应,也不溶于水),过滤、洗涤、干燥后称量滤渣质量的数据如下表:

实验序号
样品的质量/g
滤渣的质量/g
第一次
3.4
0.3
第二次
3.6
0.4
第三次
5.0
0.5

(1)该样品中碳酸钙质量分数的平均值为:   ▲   (结果精确到0.1%)。

(2)引起三次实验数据差异的操作原因可能是:    ▲    

(3)若利用题(1)的结果,煅烧100t这种石灰石,理论上最多能得到氧化钙多少吨?(结果精确到0.1t)

试题详情

26.(3分)(本题在a、b两小题,考生任选一题解答,不得两题都解。若两题都解,则以a小题计分)

a.根据氢氧化钙的溶解度曲线,完成下列问题。

(1)曲线上满足A点指标的溶液在升高温度后会产生的现象是:    ▲     ,此时的溶液中溶质质量分数将   ▲   (选填“变大”或“变小”或“不变”)

(2)若向曲线上满足A点指标的溶液中加入生石灰,则溶液中的溶质质量奖   ▲   (选填“增加”或“减少”或“不变”)

b.根据氯化钠的溶解度曲线,完成下列问题。

(1)A点所示溶液为某温度下氯化钠的   ▲   (选填“饱和”或“不饱和”)溶液。

(2)将B点所示的溶液升高温度到40℃(忽略水的蒸发),此时溶液中溶质质量分数将   ▲   (选填“变大”或“变小”或“不变”)。

(3)B点代表20 ℃时氯化钠的溶解度为36.0g,若将满足B点指标的溶液恒温蒸发10g水,会有   ▲   g氯化钠晶体折出。

试题详情

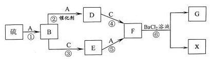
25.(4分)模拟酸雨形成的流程如下图所示。硫在单质气体A中燃烧发出蓝紫色火焰,生成刺激性气味的气体B;通常情况下C为无色液体,B、C、D是氧化物;E、F和X都是酸,G是白色沉淀。

   试填空。

   (1)E的化学式为:    ▲    

   (2)反应①的化学方程式为:           ▲          

   (3)反应④的化学方程式为:           ▲          

(4)反应⑥的化学方程式为:          ▲          

 

 

 

试题详情

24.(10分)完成下列反应的化学方程式,并回答有关问题。

(1)生石灰放入水中:

    ▲     ,基本反应类型是   ▲   

(2)实验室用双氧水制取氧气(二氧化锰粉末作催化剂):

    ▲     ,该反应是   ▲   (选填“吸热”或“放热”)反应。

(3)镁条投入稀盐酸中:

    ▲     ,基本反应类型是   ▲   

(4)氢氧化钡溶液和稀硫酸恰好完全反应:

    ▲     ,此时液体的导电性比反应前   ▲   (选填“增强”或“减弱”或“不变”)。

(5)氯化铵晶体(NH4Cl)和熟石灰混合研磨生成氯化钙和水,同时生成一种氨臭味的气体

   (NH3):       ▲      ,检验该气体可用湿润的   ▲   试纸。

试题详情

23.(4分)根据以下A、B、C、D四幅元素含量示意图,试推测元素分布领域,将图下字母序号填涂在答题卡相应位置。

(1)分布在人体中的是  ▲ 

(2)分布在海水中的是  ▲ 

(3)分布在地壳中的是  ▲ 

(4)分布在丙氨酸(C3H­7O2N)中的是  ▲ 

试题详情

22.(8分)将下列各仪器名称前的字母序号与其用途相对应的选项填涂在答题卡相应位置。

   (1)用来夹试管的工具是  ▲ 

   (2)贮存固体药品的仪器是  ▲ 

   (3)常作为反应用的玻璃容器是  ▲ 

   (4)用于洗涤仪器内壁的工具是  ▲ 

   (5)用于夹持燃烧镁条的工具是  ▲ 

   (6)检验物质可燃性,进行固气燃烧实验的仪器是  ▲ 

   (7)用于加热浓缩溶液、析出晶体的瓷器是  ▲ 

   (8)加热时常垫在玻璃容器与热源之间的用品是  ▲ 

试题详情

21.(8分)形态各异的物质可按一定规律分类。现有以下八种物质,请选用各物质名称前的字母序号填涂在答题卡相应位置。

   A.盐酸      B.氯化钾   C.氧化铜    D.淀粉

   E.五氧化二磷   F.氮气     G.氢氧化钙   H.甲烷

试题详情

20.下列过滤装置及其操作的简图(图中固定装置和混合液、滤液均省略,且玻璃棒末端均已轻靠漏斗内的三层滤纸处),其中正确的是  

试题详情

19.下列有关溶液性质的说法中错误的是

  A.煮沸的咸汤比煮沸的水温度高

 B.溶液一定是无色透明的

  C.食盐水能导电是因为食盐水中含有较多自由移动的离子

  D.消除路面上的积雪可以撒些盐,使冰雪较快融化

试题详情

18.下列有关二氧化碳的检验、制备和用途能达到目的的是

  A.干冰用于人工降雨

  B.二氧化碳气体通入紫色石蕊试液中,溶液变蓝

  C.用块状石灰石和稀硫酸迅速制备大量二氧化碳

  D.将燃着的木条伸入集气瓶,火焰立即熄灭,证明瓶内原有气体就是二氧化碳

试题详情


同步练习册答案