0  411372  411380  411386  411390  411396  411398  411402  411408  411410  411416  411422  411426  411428  411432  411438  411440  411446  411450  411452  411456  411458  411462  411464  411466  411467  411468  411470  411471  411472  411474  411476  411480  411482  411486  411488  411492  411498  411500  411506  411510  411512  411516  411522  411528  411530  411536  411540  411542  411548  411552  411558  411566  447090 

13.圆心在直线x=2上的圆C与y轴交于两点A(0, -4),B(0, -2),则圆C的方程为 ****

试题详情

12.如下图所示,墙上挂有一边长为的正方形木板,它的四个角的空白部分都是以正方形的顶点为圆心,半径为的圆弧,某人向此板投镖,假设每次都能击中木板,且击中木板上每个点的可能性都一样,则他击中阴影部分的概率是 ****

试题详情

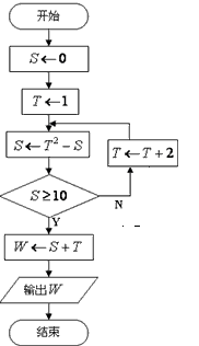
11. 右图是一个算法的流程图,最后输出的 ****

试题详情

10. 若双曲线的渐近线方程为,则双曲线焦点F到渐近线的距离为

A. 2    B.3     C. 4    D. 5

试题详情

9.已知椭圆的左焦点,右顶点A,上顶点B,且,则椭圆的离心率是

  A.     B.     C.     D.

试题详情

8. 某工厂对一批产品进行了抽样检测.右图是根据抽样检测

后的产品净重(单位:克)数据绘制的频率分布直方图,其

中产品净重的范围是[96,106],样本数据分组为[96,98),

[98,100),[100,102),[102,104),[104,106], 已知样本中产品净重小于100克的个数是36,则样本中净重不小于100克并且小于104克的产品的个数是

A. 90    B. 75    C. 66     D. 45

试题详情

7.样本中共有五个个体,其值分别为a,0,1,2,3,,若该样本的平均

值为1,则样本方差为

A.       B.         

C. 2       D.

试题详情

6. 随机抽取某中学甲乙两班各6名同学,测量他们的身高(单位:cm),获得身高数据的茎叶图如下图. 则甲班样本数据的众数和乙班样本数据的中位数分别是

 A.170,170  B.171,171   C.171,170  D.170,172

试题详情

5. 过点的抛物线的标准方程是

A.   B. 

C.  D.

试题详情

4. 若直线被圆所截得的弦长为2,则实数a的值为

A.-1或    B.1或3     C.-2或6    D.0或4

试题详情


同步练习册答案