0  420866  420874  420880  420884  420890  420892  420896  420902  420904  420910  420916  420920  420922  420926  420932  420934  420940  420944  420946  420950  420952  420956  420958  420960  420961  420962  420964  420965  420966  420968  420970  420974  420976  420980  420982  420986  420992  420994  421000  421004  421006  421010  421016  421022  421024  421030  421034  421036  421042  421046  421052  421060  447090 

2、圆的一般方程,圆心为点,半径,其中.

试题详情

1、圆心为,半径为r的圆的标准方程为:.特殊地,当时,圆心在原点的圆的方程为:.

试题详情

3. 同步卫星是本专题的一个重要问题,对其一些特点应予以重视.

试题详情

2. 在利用万有引力定律和向心力公式进行天体运动问题的计算时,涉及的数值通常都比较大,所以在解题过程中,应多采用公式推导,尽量减少中间量的运算,这样可以减小计算结果的误差.

试题详情

1. 在一般情况下,可不考虑万有引力与重力的区别.认为重力等于万有引力,此时有 ,得GM=gR2,这是一个很有用的关系式,在解题时会经常用到.

试题详情

5. 天体中的椭圆运动

 开普勒第一定律(轨道定律):所有行星分别在大小不同的椭圆轨道上围绕太阳运动,太阳在这些椭圆的一个焦点上.

 开普勒第三定律(周期定律):所有行星的椭圆轨道的半长轴的三次方跟公转周期的平方的比值都相等,即

 我们把行星的椭圆轨道近似地当作圆,由r,即得 (恒量),可见k只与恒星的质量M有关,而与行星无关.

☆ 特别提示:

试题详情

4.卫星轨道设置  人造地球卫星的圆心必须和地心重合,由 .可知h越大,即卫星离地面越高,其线速度越小,因此,第一宇宙速度是人造地球卫星绕地球做匀速圆周运动的最大速度.

同步卫星必须设在赤道上方确定的高度处,由

试题详情

3. 卫星上的“超重”与“失重”

 “超重”:卫星进入轨道前加速过程,卫星上物体“超重”.此种情况与“升降机”中物体超重相同.

 “失重”:卫星进入轨道后,正常运转时,卫星上物体完全“失重”(因为重力提供向心力).因此,在卫星上的仪器,凡是制造原理与重力有关的均不能使用.

试题详情

2.随地球自转的向心加速度和环绕运动的向心加速度的本质区别  物体随地球自转的向心加速度是由地面上物体所受万有引力的一小部分提供的,对应的周期为24 h,环绕地球表面运动的向心加速度是由该物体所受的全部万有引力提供的,对应的近地卫星周期为八十几分钟.

试题详情

知识要点:

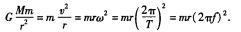
应用万有引力定律分析天体的运动  (1)基本方法:把天体的运动看成是匀速圆周运动,其所需向心力由万有引力提供.

  

    应用时可根据实际情况选用合适的公式进行分析或计算.

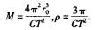
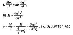
(2)   天体质量M,密度ρ的估算.

    测出卫星绕天体做匀速圆周运动的半径r和周期T,由

  

    当卫星沿天体表面绕天体运行时,r=r0,则

  

人造地球卫星的周期和运行速度  (1)运行速度:由     

   可知r越大,v越小.

   若r=R(地球半径)时,则(为人造地球卫星环绕地球做匀速圆周运动的最大速度)

 (2)周期:由

  

   可见离地面越高,周期越大.

   若r=R,因为

   为人造地球卫星环绕地球做匀速圆周运动的最小周期

此公式与单摆的周期公式相似.这仅仅是形式的相似,其实两者各遵循不同规律.

(3)卫星的发射速度和运行速度

    发射速度是指被发射物体在地面附近离开发射装置的初速度,并且一旦发射后就再无能量补充,被发射物体仍依靠自身的初动能克服地球引力上升一定高度,进入运行轨道.若发射速度等于7.9 km/s,卫星可贴着地面近地运行;若发射速度满足:7.9 km/s<v<11.2 km/s,卫星可在高空沿着圆周轨道或椭圆轨道运行.

   运行速度指卫星在进入运行轨道后绕地球做匀速圆周运动的线速度,其大小公式

   

人造地球同步卫星

(1)人造地球同步卫星的周期与地球自转周期相同.即T=24h=86400 s.

r=4.24×104km  卫星离地面高度h=r-R=6R(为恒量).

运动速度v=2πr/T=3.07km/s(为恒量).

(2)人造地球同步卫星的位置一定是在赤道的上空,即卫星轨道平面和赤道平面重合.

(3)同步卫星的发射:先是用火箭将卫星送到近地轨道上(r≈R),并调整到赤道平面内做近地圆周运动,稳定运行后,根据需要在适当位置启动卫星上的发动机,使卫星在切线方向上加速,卫星从圆轨道变轨到椭圆轨道,变轨后,发动机关闭,卫星将向椭圆轨道的远地点处运行,若不计大气阻力,从近地点向远地点的运动过程中,机械能守恒.但由于引力做负功,运行速度逐渐减小,至远地点时减至最小,由于椭圆轨道远地点的速度小于该点所在的圆轨道的线速度,则卫星在远地点时,需再次启动发动机使卫星速度增至地球同步圆轨道的线速度3.08 km/s,这样卫星进入地球同步圆轨道运行.这种卫星发射方式最经济,现今技术也很成熟,如下图所示.

另一种发射方式为直线发射,由火箭把卫星发射到3000 km赤道上空,然后90°转折飞行,使卫星进入轨道.但这种方式发射场要在赤道上,且要消耗大量能量.

5、极地卫星和近地卫星:极地卫星运行时每圈都经过南北两极,其轨道平面相对地心不动,由于地球自转,极地卫星可以实现全球覆盖.近地卫星是在地球表面附近环绕地球做匀速圆周运动的卫星,其运行的轨道半径可近似认为等于地球的半径,其运行线速度约为7.9 km/s.

   两种卫星的轨道平面一定通过地球的球心.

三种宇宙速度  (1)第一宇宙速度(环绕速度):

 (2)第二宇宙速度(脱离速度):v2=11.2 km/s为使物体挣脱地球引力束缚的最小发射速度.

 (3)第三宇宙速度(逃逸速度):v3=16.7 km/s为使物体挣脱太阳引力束缚的最小发射速度.

☆ 能力要求: 1.重力、万有引力、向心力间的关系  万有引力是形成地面物体所受重力的主要原因,因为地球自转对物体影响不大,所以近似可认为物体重力和地球对物体的万有引力相等,所以有,但事实地球上物体所受万有引力是地球上物体所受重力和绕地球自转向心力的合力,三者本质含义不同。而太空中环绕地球转动的物体所受的万有引力、重力和向心力是完全相同意义的.

试题详情


同步练习册答案