0  422771  422779  422785  422789  422795  422797  422801  422807  422809  422815  422821  422825  422827  422831  422837  422839  422845  422849  422851  422855  422857  422861  422863  422865  422866  422867  422869  422870  422871  422873  422875  422879  422881  422885  422887  422891  422897  422899  422905  422909  422911  422915  422921  422927  422929  422935  422939  422941  422947  422951  422957  422965  447090 

8.从黄瓜、白菜、油菜、扁豆4种蔬菜品种中选出3种,分别种在不同土质的三块土地上,其中黄瓜必须种植,不同的种植方法共有                        (   )

  A.24种      B.18种       C.12种        D.6种

试题详情

7.如图,正方体的棱长为,过点作平面的垂线,垂足为点

则以下命题中,错误的命题是( )

A.点的垂心      B.垂直平面

C.直线所成角为   D.的延长线经过点

试题详情

6.在等差数列中,若,则的值为 (   )   

   A.  14       B.  15       C.  16       D.  17

试题详情

5.已知是不重合的两条直线,是不重合的两个平面,则下列命题

  ①,则          ②,则

  ③若,则;   ④,则

  其中真命题个数为                       (   )

A.0个       B.1个        C.2个      D.3个

试题详情

4.设是第四象限角,,则        (   )

  A.         B.         C.        D.

试题详情

3.已知,则的           (   )

  A.必要不充分条件  B.充分不必要条件  C.充要条件      D.既不充分也不必要条件

试题详情

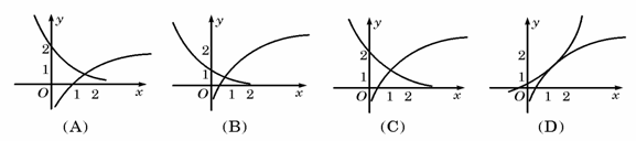
2.函数在同一直角坐标系下的图象大致是(   )

试题详情

1.函数的图象     (   )

  A 关于轴对称   B 关于轴对称     C 关于原点对称     D 关于对称

试题详情

44. 读“东北区略图”,完成下列问题。(10分)

(1)图中 C 山脉名称是:C         

  ( 2分)

(2)由图分析东北的地形结构是      

  ( 2分)

(3)试评价图中D平原的农业生产的自然条件。

  ( 6分)

    2008-2009学年度下学期期末联考

试题详情

43. 读图,回答下列问题。(10分)

(1)该地区地形基本上以200米等高线为界明显地分为        两类地形区。

(2分)

(2)观察图中居民点分布的特点是:①                。(4分)

(3)A城区成为当地较大城市的有利条件是              。(4分)

试题详情


同步练习册答案