0  422881  422889  422895  422899  422905  422907  422911  422917  422919  422925  422931  422935  422937  422941  422947  422949  422955  422959  422961  422965  422967  422971  422973  422975  422976  422977  422979  422980  422981  422983  422985  422989  422991  422995  422997  423001  423007  423009  423015  423019  423021  423025  423031  423037  423039  423045  423049  423051  423057  423061  423067  423075  447090 

1、想像你自己对困难作出的反应,不是逃避或绕开它们,而是面对它们,同它们打交道,以一种进取的和明智的方式奋斗。

试题详情

31.(20分)Ⅰ(9分)姐妹染色单体(2分)同源染色体的姐妹染色单体(只写同源染色体也给分)(2分)基因突变、染色体变异和基因重组(3分)孢子生殖(2分)

Ⅱ(11分)(1)叶腋不长雌花序,顶部长雌花序  (2分)

(2)bbTt和bbTT  (2分)

(3)

(7分)其中:亲本、子代1分,雌雄1分,基因型2分,配子种类1分,杂交符号、箭头1分,比例1分

[解析]Ⅰ.考查减数分裂,中等题。据图分析可知,第一对子囊孢子中的染色体和第二对子囊孢子中的染色体来自合子中同一条染色体的两条姐妹染色单体;第三和第四对子囊孢子中的染色体来自前一条染色体的同源染色体的姐妹染色单体;粗糙脉孢菌能进行减数分裂,故其可能发生的可遗传的变异类型有:基因突变、染色体变异、基因重组;其无性生殖方式为:孢子生殖。

Ⅱ. 考查遗传的基本规律,中等题。(1)据题意,bb的玉米因腋部长不出雌花序,tt的玉米因植株顶部的雄花序变成雌花序,故可推知,基因型为bbtt的玉米其花序的生长情况为:腋部不长雌花序,顶部长雌花序。(2)雄株的基因型有:bbTt、bbTt。(3)后代中雌株和雄株之比是1∶1,应是测交试验。

综评:

物理部分:本套试卷比较全面地考查高中物理基础知识和基本技能,从整体上看,以中档试题为主,难度适中,适合三轮复习学生的诊断检测。对双基的考查,如15,17题;考查实际的应用,如14,16题;突出实验能力的考查,最近几年的高考题,都考查这方面的内容,例如22题;对复杂过程的细节分析,如25题。

化学部分:本套试卷以中档试题为主,突出考查学科主干知识和考纲主要考点,适合二轮复习检测。试题突出推断分析能力,其中27题无机推断综合性强。

生物部分:本试题生物部分难度适中,知识点覆盖面全,重点突出,较好地考查了学生的实验设计和分析能力。

(梁春莉 王波 张从民)

试题详情

30.(22分)Ⅰ(10分)数量多、体积大、无基粒(2分);叶肉(2分):少数处于特殊状态的叶绿素a(2分);玉米(2分);(气孔运动对叶片缺水非常敏感,轻度)水分亏缺就会引起气孔关闭,导致进入叶内的CO2减少(括号中的话没有也给分)(2分)

Ⅱ(12分)(1)玉米的光饱和点大于水稻(2分)

(2)①取两盆生长状况相同的玉米植株,标记为A、B,A盆给以50 klx的光照,B盆给以大于50 klx的光照(3分)

②在相同且适宜的条件下培养一段时间,测定A、B两盆玉米的光合作用强度(3分)

(3)①若B盆玉米的光合作用强度大于A盆,则玉米的光饱和点大于水稻(2分)

②若B盆玉米的光合作用强度等于A盆,则玉米的光饱和点不大于水稻(2分)

[解析]Ⅰ.本题考查C3植物与C4植物叶片结构及光合作用过程的区别,中等题。玉米是C4植物,其维管束鞘细胞的叶绿体具有数目多、体积大、无基粒的特点;C4植物的光反应场所是:叶肉细胞,转化光能的色素是:少数处于特殊状态的叶绿素a;水稻是C3植物,在高温、强光照、干旱的环境中,水稻不如玉米具有生存优势,原因是C4植物有较强的保水机制。水分亏缺影响光合作用的主要原因是:(气孔运动对叶片缺水很敏感,轻度)水分亏缺时会引起气孔关闭,导致进入叶内的CO2量减少,进而影响光合作用。

Ⅱ. 本题考查实验设计,较难题。

(1)提出假设:玉米的光饱和点比水稻大。

(2)据题意,50 klx的光照下,玉米的光合强度大于水稻,若玉米的光饱和点比水稻大,则光照大于50 klx,玉米的光合强度仍能增加,如不增加,则说明玉米的光饱和点≤50 klx,即玉米的光饱和点不大于水稻。实验步骤:①取两盆长势相同的玉米植株,标记为A、B,A盆给以50 klx的光照, B盆给以大于50 klx光照。②在相同且适宜的条件下培养一段时间,测定两盆玉米的光合作用强度。

试题详情

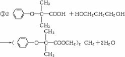
29.(16分,每空2分)

①结构简式:A C6H5OH C  J HOCH2CH2CHO

②NaOH水溶液 加成

④4 HCOOCH2CH2CH3、HCOOCH(CH3)2 (写出1个得1分)

[解析]本题考查有机合成和推断,中等题。运用逆合成分析法,K为HOCH2CH2CH2OH,H为,该反应为酯化反应。根据Ⅰ的结构特点,可以推断Ⅰ为CH2CHCHO,J为HOCH2CH2CHO;根据信息a,可以推断B为,G为,因此A为苯酚。再结合信息a、b,则C为,D为,E为,F为

试题详情

28.(16分,每空2分)

(1)Ⅰ.④ ①

Ⅱ.4HCl+MnO2Cl2↑+MnCl2+2H2O

Cl2+2OHClO+Cl+H2O

(2)I→J→I→H→K→I→L (全对才2分)

检查装置的气密性

第二个I装置无白色浑浊,而第三个I装置出现白色浑浊,同时K装置中的黑色粉末变成了光亮的红色 (写出前两点即可得2分)

A、D(1个1分)

[解析]本题考查气体的制备和性质实验,中等题。(1)Ⅰ.制取氨气可以采用NH4Cl和Ca(OH)2固体,属于“固固混合加热型”,选择装置C;可以采用浓氨水和CaO固体,属于“固液混合不加热型”,选择装置B。Ⅱ.A为Cl2的发生装置,为MnO2和浓盐酸的反应,E为收集装置,F为尾气吸收装置,为Cl2和NaOH的反应。(2)检验CO2利用澄清石灰水,检验CO,是利用CuO和澄清石灰水,要注意的是检验CO前要除去CO2。能够还原CuO的气体还有乙醇蒸气和NH3

试题详情

27.(14分,每空2分)

(1)Y Fe B Al2O3 (2)X C A CuO

(3)2Mg+CO22MgO+C A的电子式

(4)2C+SiO2Si+2CO (注:不写条件扣1分,以下同)

[解析]本题考查无机推断,较难题。根据题干部分,可以推断Z为O2。(1)若X、Y均为金属,则X和A为金属单质和氧化物的反应,属于铝热反应,因此X为Al,Y为Fe,A为Fe3O4,B为Al2O3

(2)Y为红色金属,则Y为Cu,A为CuO,因此固态非金属为C。

(3)根据Y为非金属,其氧化物A为直线形分子,则Y为C,A为CO2。因此金属X为Mg。(4)若X、Y为同主族的非金属,则X与A的反应为C和SiO2的反应。

试题详情

26.(14分,每空2分)

(1)B 氧 D 硫 C离子的结构示意图 

(2)S2+H2OHS+OH (没有可逆符号扣1分)

(3)HSO+H+===SO2↑+H2O

(4)H-O-O-H

(5)0.752

[解析]本题考查元素推断,中等题。(1)根据题干部分,A为H,B为O,C为Na,D为S。(2)四种元素组成的无氧酸正盐为Na2S,由于S2的水解溶液显碱性。均含A、B(3)C、D四种元素组成的化合物相互间发生反应,且生成气体的两种物质为NaHSO4和NaHSO3。(4)H、O组成的化合物H2O2含有非极性共价键。(5)设该分散系中NaOH、H2O的物质的量分别为xy。则Na的质量分数为×100%=16.1%,而O的质量分数为×100%。

试题详情

25.解:(1)小物块m0与小车碰撞瞬间动量守恒

m0υ0=-m0υ1+2 ① (4分)

代入解得:υ2=4 m/s (2分)

(2)设m与小车最终相对静止时的速度大小为υ3

由动量守恒得:

2=(M+m)υ3 ② (4分)

解得:υ3== m/s=3.2  m/s (2分)

对小物块m及小车,由能量守恒得:

μmgs-(M+m)υ (5分)

解得相对位移大小为s=3.2 m (1分)

故小物块m与挡板只发生一次碰撞 (2分)

最终小物块m停在离挡板0.8 m远处 (2分)

[解析]本题考查动量守恒定律,较难题。在做题的时候,一定要注意整个过程的分析,找好初始状态和末了状态,规定好正方向。第一问中,规定向右为正,应用动量守恒定律得出方程为:m0v0=-m0v1+Mv2 ,代入数据,得出结果。第二问中,最终Mm一起以共同的速度做匀速直线运动,可以应用动量守恒定律求出末速度。公式如下:Mv2=(M+m)v3再根据动能定律,求出相对运动位移即可。

试题详情

24.解:(1)设杆匀速运动时的速度为V

则杆切割磁感线产生的电动势 EBLV ① (1分)

整个回路的电流IBLV/2R ② (1分)

ab杆为研究对象,受到的滑动摩擦力f,细线的拉力T,安培力F1,外力F

F1BILB2L2V/2R ③ (1分)

由平衡可得Ff+T+F1 ④ (2分)

  fμmg ⑤ (1分)

cd杆为研究对象,细线的拉力T,重力mg

由平衡得 Tmg ⑥ (1分)

由③④⑤⑥式得:

Fμmg+mg+B2L2V/2RB2L2V/2R+(μ+1)mg ⑦

由图乙可知,当υ1=4 m/s时,F1=9 N

υ2=8 m/s时,F2=11 N

代入⑦式即得:μ=0.4 (2分) B=2 T (2分)

(2)在ab杆开始运动到匀速运动的过程中,由动能定理得

(FTf)SW2-0 ⑧ (3分)

cd杆:(Tmg)S2-0 ⑨ (3分)

代入数据得:QW=8 J (1分)

因此,在这一过程中,整个回路产生的焦耳热Q=8 J

(2)也可用功能原理

外力F做功输入能量 ΔEF·S=72 J (1分)

系统增加动能 ΔEk=×2 mυ2=8 J (1分)

系统增加势能 ΔEpmgs=40 J (1分)

系统摩擦发热 Q1μmg·s=16 J (1分)

系统电路中焦耳热 Q2=ΔE-ΔEk-ΔEPQ1 (2分)

           =8 J  (1分)

[解析]本题考查以电磁感应为依托,综合考查力学、能量等方面的知识,中等题。要求出杆与水平导轨之间的动摩擦因数μB,必须对abcd进行受力分析。abFf+T+F1cdTmg,根据图象乙和题目的已知条件得出结果。在恒力F的作用下,运动到8 m达到匀速状态,整个过程中,对abcd用动能定理。ab:(FTf)smv2-0,cd:(Tmg)smv2-0代入相关的数据得出结果。

试题详情

23.解:设车在结冰的路面上做匀减速运动的加速度大小为a,则由运动学公式得:

V2=2as (1)  (5分)

aV2/2s==5 m/s2 (3分)

设安全制动距离为10米时的车速为V1,则由V=2as1 (4分)得

V1===10 m/s=36 km/h (3分)

答:该机动车在该路面上行使的最大速度36 km/h。

(注:不求出a的值,而用两式相比,同样给分)

[解析]本题考查匀变速运动在生活中的应用,较易题。在解题的过程中,先计算出在冰面上的加速度。然后计算在制动安全距离的初速度即可。

试题详情


同步练习册答案