0  424868  424876  424882  424886  424892  424894  424898  424904  424906  424912  424918  424922  424924  424928  424934  424936  424942  424946  424948  424952  424954  424958  424960  424962  424963  424964  424966  424967  424968  424970  424972  424976  424978  424982  424984  424988  424994  424996  425002  425006  425008  425012  425018  425024  425026  425032  425036  425038  425044  425048  425054  425062  447090 

5. 物体放在粗糙的长木板上,物体与木板间动摩擦因数μ=0.75,木板可绕M端自由转动,若将其N端缓慢抬起,设当木板与水平面夹角分别为30°、37°、60°时物体受到的摩擦力分别为f1、f2、f3,则它们的大小关系为(最大静摩擦力等于滑动摩擦力):

A.f1<f2<f3     B.f1>f2>f3    C.f3<f1<f2     D.前面均不对

试题详情

4. 从楼顶上每隔时间T掉下一个水滴,当第4个水滴开始下落时,第1个、第2个、第3个水滴离开楼顶的距离之比S1:S2:S3

A.3︰2︰1  B.9︰4︰1  C.5︰3︰1  D.4︰2︰1

试题详情

3. 一质点做匀加速直线运动, 第三秒内的位移2m, 第四秒内的位移是2.5m, 那么可以知道

A. 这两秒内平均速度是2.25m/s   B. 第三秒末瞬时速度是2.25m/s

C.质点的加速度是0.125m/s2     D. 质点的加速度是0.5m/s2

试题详情

2. 一物体在不在同一直线上的三个恒力的共同作用下,作匀速直线运动,关于这三个力下面说法中正确的是:

A. 三个力一定性质相同

B. 三个力的作用线能构成一个封闭的三角形

C. 失去其中任一个力,物体将改作匀加速直线运动

D. 三力中,任二个力的大小之和,一定大于第三个力

试题详情

1. 关于物体运动的速度V、速度的变化量△V以及加速度a的关系,以下说法中正确的是:

A. V越大则a越大     B.△V越大则a越大

C.V变化越快则a越大  D.a的方向就是V的方向

试题详情

17(10分).已知集合,若,求实数的取值范围.

18(12分).设函数   若的反函数为,求的值.

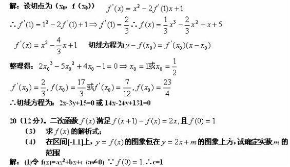
19(12分).若函数,求过点且与图像相切的直线方程.

20(12分)。二次函数满足

(1) 求的解析式;

(2) 在区间[-1,1]上,的图象恒在的图象上方,试确定实数的范围.

21(12分). 已知函数在x=1处取得极大值2

  (1)求f(x)的表达式;

  (2)m满足什么条件时,函数f(x)在区间(m,2m+1)上单调递增?.

22(12分)若函数y=f(x)是周期为2的偶函数,当时,f(x)=x-1,在

y=f(x)的图像上有两点A、B,它们的纵坐标相等,横坐标都在区间[1,3]上,

定点C的坐标为(0,a)(其中2<a<3),求ABC面积的最大值.

19(12分).若函数,求过点且与图像相切的直线方程.

ABC面积的最大值为

试题详情

16. 已知的图象如图,

之间从小到大的顺序为_________   

试题详情

15. 已知命题P:若,则P的否命题是________________

非P是_____________________________;

试题详情

14.函数的单调区间为_________

试题详情

13.若关于x的不等式的解集为,则a=________

试题详情


同步练习册答案